(最新原创毕设)Java助农扶贫信息平台/03.28(白嫖源码+演示录像)|可做计算机毕设Java、Python、PHP、小程序APP、C#、爬虫大数据、单片机、文案
该平台致力于通过数字化手段帮助农民群体解决信息孤岛问题,提高扶贫资源的流动性与透明度。平台功能涵盖了贫困申请管理、帮扶活动发布、农产信息展示、调查问卷收集等多个模块,旨在通过线上平台的建设,为农民提供便捷的求助渠道、活动参与平台以及扶贫资源的有效对接。
摘要
随着信息技术的发展,传统的扶贫模式逐渐与现代技术手段相结合,数字化扶贫成为了提升扶贫效率的重要途径。本文主要介绍了一种基于SpringBoot框架开发的助农扶贫信息平台的设计与实现。该平台致力于通过数字化手段帮助农民群体解决信息孤岛问题,提高扶贫资源的流动性与透明度。平台功能涵盖了贫困申请管理、帮扶活动发布、农产信息展示、调查问卷收集等多个模块,旨在通过线上平台的建设,为农民提供便捷的求助渠道、活动参与平台以及扶贫资源的有效对接。平台采用SpringBoot作为后台开发框架,利用其高效、简洁的特点,确保了系统的稳定性与扩展性。同时,平台的前端与后端结合流畅,用户体验得到了优化,便于不同用户进行多维度的交互与管理。此外,平台还通过数据分析、角色权限管理等功能,确保了系统的高效运作及信息的精准传递。
该平台不仅提升了助农扶贫的透明度,也优化了扶贫资源的配置效率,为推动乡村振兴和精准扶贫提供了有力的技术支持。
关键词:助农扶贫;信息平台;SpringBoot;系统设计;数字化扶贫
Abstract
With the development of information technology, traditional poverty alleviation models are gradually being combined with modern technological means, and digital poverty alleviation has become an important way to improve poverty alleviation efficiency. This article mainly introduces the design and implementation of a poverty alleviation information platform for agriculture based on the SpringBoot framework. This platform is committed to helping farmers solve the problem of information silos through digital means, and improving the mobility and transparency of poverty alleviation resources. The platform covers multiple modules such as poverty application management, assistance activity release, agricultural information display, and survey questionnaire collection, aiming to provide farmers with convenient channels for seeking help, activity participation platforms, and effective docking of poverty alleviation resources through the construction of an online platform. The platform adopts SpringBoot as the backend development framework, utilizing its efficient and concise features to ensure the stability and scalability of the system. At the same time, the front-end and back-end of the platform are seamlessly integrated, optimizing the user experience and facilitating multi-dimensional interaction and management for different users. In addition, the platform also ensures the efficient operation of the system and accurate transmission of information through functions such as data analysis and role permission management.
This platform not only enhances the transparency of agricultural poverty alleviation, but also optimizes the efficiency of poverty alleviation resource allocation, providing strong technical support for promoting rural revitalization and targeted poverty alleviation.
Key words: Assisting agriculture and poverty alleviation; Information platform; SpringBoot; System design; Digital poverty alleviation
目录
1 绪论
1.1设计背景和意义
1.1.1设计背景
近年来,随着信息技术的快速发展和普及,互联网已成为推动社会经济发展的重要力量。在农业领域,信息技术的应用不仅能够提高农业生产效率,还能促进农产品的销售和市场信息的流通。然而,我国农村地区,尤其是贫困地区,由于信息闭塞、技术落后等问题,导致农产品销售困难,农民收入增长缓慢。为了有效解决这些问题,构建一个助农扶贫信息平台显得尤为重要。该平台旨在通过信息化手段,连接城市消费者和农村生产者,促进农产品的销售,提高农民收入,助力精准扶贫。
1.1.2开发意义
助农扶贫信息平台的开发具有重要的社会意义。随着社会的不断进步,农村地区的贫困问题依然存在,尽管各类扶贫政策和措施相继出台,但信息不对称和资源分配不均的问题仍然影响着扶贫效果的最大化。传统的扶贫方式往往存在着信息流通不畅、资源利用效率低下、管理复杂等问题,难以满足现代化精准扶贫的需求。因此,借助信息技术的力量,建设一平台对农民进行精准扶贫,能够有效突破传统模式的局限。
信息平台的开发使得贫困地区的农民能够通过互联网方便地申请帮扶资源,参与各种扶贫活动,及时了解农产信息和市场动态。这不仅帮助农民克服信息闭塞的困境,还能够增加他们与外界的联系,提高其自我发展的机会。此外,平台也为扶贫组织提供了一个高效的信息管理与调度工具,能够实现对扶贫资源的精准配置,提高资源使用效率,避免了传统方式中存在的资源浪费问题。
平台的开发推动了扶贫工作的数字化与规范化,不仅简化了扶贫流程,还能够通过数据的积累和分析,及时发现潜在的扶贫需求和薄弱环节,使得后续的扶贫措施更加具有针对性和科学性。通过信息平台的建设,能够更加高效地整合各类社会力量,动员各方资源,协同推动扶贫工作,从而实现精准扶贫和乡村振兴的目标。
1.2同类或相关系统的开发现状
目前,国内外已有一些类似的助农扶贫信息平台。这些平台主要提供助农政策的发布、公益活动、求助帖、对口支援等功能。
“中国扶贫在线”系统主要运用于扶贫信息传播与宣传、扶贫项目对接与合作、扶贫数据收集与分析、国际交流与合作以及扶贫教育与培训等多个方面,为推动中国扶贫事业的发展发挥了重要作用。该系统包含多种服务,下设扶贫要闻、贫困状况、扶贫故事、政策解读、精准扶贫、国际合作等数十个栏目。通过图文、视频、评论、访谈、图解等多媒体形式,全面、准确、及时、权威地发布扶贫动态、扶贫故事、国家及地方政策、扶贫数据、扶贫报告、项目对接等信息。

然而,这些平台在功能设计、用户体验、覆盖范围等方面仍存在不足,特别是在针对贫困地区的精准扶贫方面,缺乏针对性的解决方案。因此,开发一个更加专业、高效、易用的助农扶贫信息平台,具有重要的现实意义。
1.3设计目标与主要工作
助农扶贫信息平台的设计目标是通过构建一个集政府助农政策发布、农产品信息展示、在线销售以及精准扶贫等功能为一体的综合信息平台,为农民提供全面的支持,推动农村经济的可持续发展。平台的核心目标是帮助贫困地区农民解决信息闭塞、资源配置不均等问题,提高农产品的市场竞争力和销售渠道,提供农业技术咨询与培训服务,最终实现精准扶贫,帮助贫困地区的农民脱贫致富。
在设计过程中,首先需要明确系统的功能需求、性能需求和安全需求。平台应具备良好的用户体验,满足不同群体的使用需求。同时,平台的安全性也至关重要,需要有效保障用户信息和交易数据的安全性。系统设计方面,需要合理规划平台的整体架构与功能模块,确保平台能够稳定运行,处理海量的农产品信息及用户数据,并支持多种操作系统与终端的访问。此外,数据库设计也是系统设计中的一个关键环节,需要高效的数据库支持,确保信息的实时更新与查询效率。
系统开发阶段将基于设计方案进行具体的功能实现,涵盖政府助农政策发布、农产品信息展示、在线销售等核心模块。开发过程中,将确保各个模块之间的无缝对接,实现数据的流畅传输与实时更新。平台开发完成后,需要通过系统测试来验证其各项功能的有效性,包括功能测试、性能测试和安全测试等,以确保平台在各种环境下都能稳定运行,保障用户的使用体验。
最后,在系统部署与运维阶段,将平台部署到服务器上,并进行日常的维护与更新,确保平台持续稳定运行。运维过程中,需要及时修复可能出现的漏洞和问题,保障数据的安全性,并根据用户反馈对平台进行优化和功能扩展,不断提升平台的服务质量和效率。通过这些工作,助农扶贫信息平台将为农民提供更加便捷的扶贫服务,并为政府与社会各界提供一个精准、高效的扶贫管理工具。
2 相关技术介绍
2.1B/S框架
B/S(Browser/Server)架构是一种基于浏览器和服务器的应用架构模式。它以Web浏览器作为客户端,服务器端通过Web技术提供应用服务。客户端通过浏览器与服务器进行交互,用户无需安装专门的客户端应用程序,只需要通过互联网连接即可访问应用程序[1]。在B/S架构中,客户端主要承担用户界面的呈现和基本的输入输出功能,而核心的业务处理、数据存储等操作则由服务器端完成。这种架构的核心优势在于无需在每个客户端机器上安装或更新软件,只要用户的浏览器符合要求,就可以使用系统。
B/S(Browser/Server)架构是一种网络架构模型,其主要特点是客户端通过浏览器与服务器进行通信,所有的业务逻辑和数据处理都在服务器端完成,客户端仅负责展示数据[2]。B/S架构本质上是一种客户端-服务器模式的变体,它通过将传统的C/S(Client/Server)架构中的客户端功能移到浏览器中,简化了客户端的开发和维护工作。在B/S架构中,用户通过浏览器发送请求,浏览器负责展示从服务器获取的数据,服务器则处理请求并返回响应。该架构避免了安装和配置客户端软件的麻烦,也减少了对客户端硬件的依赖,适合于需要大规模部署和跨平台支持的应用系统。
2.2 SpringBoot框架
SpringBoot是一个用于简化Spring应用开发的开源框架,通过减少开发人员配置和依赖的复杂性,使得开发者能够快速构建基于Spring的生产级应用。SpringBoot基于Spring框架之上,提供了一种自配置的方式,使得开发者可以以最少的配置来启动和开发Spring应用[3]。它通过约定优于配置的原则,将常见的配置预设,使得开发人员能够聚焦于业务逻辑的实现,而不必过多关注繁琐的配置和环境搭建。
SpringBoot框架的核心特点之一是其自动配置功能。它能够根据项目中已存在的类和库,自动推断出开发环境的配置需求,减少了手动配置的工作量。SpringBoot还提供了嵌入式Web服务器支持(如Tomcat、Jetty等),使得应用可以以独立的Java应用形式运行,不再依赖外部的Web容器。这种特性使得SpringBoot特别适合于微服务架构的构建。SpringBoot还通过其提供的启动器(Starters)简化了常见功能的集成,例如数据库连接、消息队列、缓存、认证与授权等,从而提升了开发效率[4]。
2.3 Vue技术
Vue.js是一款用于构建用户界面的渐进式JavaScript框架,提供一种灵活而高效的方式来开发单页面应用(SPA)。Vue的设计理念是通过尽量简化开发过程,提供一种声明式的方式来构建用户界面[5]。Vue.js通过数据驱动的视图模型,允许开发者以声明式语法绑定数据与视图,使得应用的状态和界面表现更加简洁和可维护。它的核心思想是通过组件化开发将复杂的UI拆分为可重用的独立模块,从而提升了代码的模块化、可维护性和可扩展性。
Vue.js具备响应式数据绑定和虚拟DOM的特性。响应式数据绑定意味着当数据变化时,Vue会自动更新与之绑定的DOM元素,从而实现视图的实时更新。虚拟DOM则是Vue.js的一种优化手段,通过将对DOM的操作抽象为一个虚拟的DOM树来提高性能,减少实际DOM操作的开销[6]。Vue还提供了丰富的插件和工具,如Vue Router用于路由管理,Vuex用于状态管理,方便开发者构建复杂的前端应用。Vue的灵活性和简洁性使其成为现代Web开发中常用的前端框架之一。
2.4 MySQL数据库
MySQL是一种开源的关系型数据库管理系统(RDBMS),基于SQL(结构化查询语言)进行数据操作。作为一个被广泛使用的数据库系统,MySQL具有高度的性能、可扩展性和可靠性。MySQL使用表格结构来存储数据,每个表由多个列和行组成,数据通过SQL查询语言进行操作[7]。MySQL支持多种数据类型,如整数、浮动小数、字符串、日期等,以满足不同应用场景对数据存储的需求。在实际应用中,MySQL通常用于存储和管理结构化数据,通过索引、视图、触发器等功能提升数据查询的效率和数据的完整性。
MySQL支持ACID事务特性(原子性、一致性、隔离性、持久性),确保数据库操作的可靠性和数据的一致性。它还支持多种存储引擎,其中InnoDB是最常用的存储引擎,具备事务支持、行级锁定和外键约束等特性,适用于高并发、高可靠性的数据存储需求。MySQL可以通过主从复制、分区和分库分表等技术实现横向扩展,以应对大规模数据存储和高负载的应用需求。MySQL还具有灵活的权限管理机制,支持用户角色管理、细粒度的权限控制等,保障数据的安全性。
2.5 协同过滤推荐算法
根据用户的个人行为确定其“喜好”类型,并在客户端首页展示个性化推荐模块的实现过程涉及用户行为数据的采集与分析。每个用户通过唯一的 user_id 进行标识,当用户在系统中浏览商品时,相关的行为数据(如浏览时长、点击次数、是否收藏)会被记录下来。具体而言,系统会实时记录用户在商品页面的停留时间、点击商品的频率以及是否将商品收藏。这些数据会被存储在 hits、comment 和 collect 等数据库中,确保用户的每一次互动都能被及时捕捉。
通过对这些行为数据的分析,系统可以计算出用户在某一商品类别下的兴趣权重,例如浏览时长较长的商品会赋予较高的兴趣权重,点击频繁的商品则表明用户的关注度较高,而收藏则表示用户对该商品的偏好更强。通过综合计算这些数据,系统能够准确地识别用户的兴趣类型,并根据这一分析结果推断出用户最喜欢的商品类型,从而实现个性化推荐。
每次用户进行互动时,系统会实时更新这些数据,并调整推荐策略。在用户登录后,首页的推荐模块会根据其最新的兴趣类型展示相关商品。如果用户的行为发生变化,系统会动态地调整推荐结果,确保推荐内容始终符合用户的当前兴趣。这一过程的关键是通过精确的推荐算法(如协同过滤或基于内容的推荐)来实现实时更新,从而提高用户的参与度和平台的活跃度。
3 需求分析
3.1可行性分析
3.1.1技术可行性
从技术角度来看,Spring Boot作为一种轻量级、快速构建的Java框架,能够提高开发效率,降低系统的复杂程度,易于维护和升级。同时,MySQL作为关系型数据库,能够支持平台数据的存储与管理,保障系统的稳定性和高效性。因此,本系统具有技术可行性。
3.1.2经济可行性
考虑到Springboot、Vue、MyBatis Plus及MySQL等均为开源技术,无需支付高昂的许可费用,大大降低了系统的开发成本。同时,这些技术拥有广泛的用户群体和成熟的社区支持,便于获取技术支持和资源共享。此外,系统的实施将显著用户体验,从而带来潜在的经济效益。因此,从经济角度来看,该系统的开发同样具备可行性。
3.1.3操作可行性
系统设计应遵循用户友好原则,确保用户能够轻松上手并高效使用。通过合理的界面布局、直观的操作流程以及详尽的帮助文档,可以大大降低用户的学习成本,提高系统的操作可行性。此外,系统还应具备完善的权限管理和数据安全机制,确保操作的安全性和合规性。
3.2系统性能分析
对于助农扶贫信息平台的设计与实现,下面是系统性能分析表:
表3.1性能需求表
|
项目 |
内容 |
|
响应时间 |
系统对用户请求的响应时间需在500ms以内 |
|
并发用户数 |
系统需要支持1000个并发用户同时访问 |
|
吞吐量 |
系统每秒需要处理1000个请求 |
|
可用性 |
系统需要保证每月99.9%的可用性 |
|
数据安全 |
用户敏感数据需要加密存储,并支持数据库备份和恢复 |
|
数据一致性 |
系统中的数据操作需保证ACID特性,确保数据一致性 |
|
扩展性 |
系统需要支持水平扩展,能够方便地增加服务器节点以应对高请求量 |
|
可维护性 |
系统代码需要清晰易懂、结构良好,方便维护和修改 |
|
日志记录 |
系统需要记录用户操作日志、异常日志以及系统运行日志 |
|
监控报警 |
系统需要实时监控运行状态,当系统异常时能够及时发送警报通知相关人员 |
|
缓存设置 |
针对频繁使用的数据,系统需要进行合适的缓存 |
3.3功能需求分析
功能需求分析是对系统所需功能进行详细描述的过程,明确系统的目标、功能模块及其相互关系。在此阶段,结合用户需求、业务流程和技术架构,识别系统必须实现的各项功能,并对其优先级、实现方式和约束条件进行梳理。通过功能需求分析,确保系统设计能够满足实际需求,且具有良好的可用性、可维护性和扩展性,为后续的系统开发和测试提供明确的指导和依据。
3.3.1注册用户功能
首页:展示平台的主要信息和导航,方便用户快速了解平台内容。
求助论坛:用户可以发布求助信息,寻求其他用户的帮助和支持,或者参与讨论。
通知公告:查看平台发布的通知和公告,获取最新的相关信息。
助农资讯:了解平台发布的关于助农扶贫的最新资讯,获取农民的支持和帮助。
贫困申请:用户可以提交贫困申请,申请获取相应的扶贫资源。
农产信息:查看平台上的农产品信息,包括农产品的种类、供应情况等。
帮扶活动:用户可以参与各种扶贫活动,加入帮扶项目,提供或接受帮助。
我的账户:用户可以查看和管理自己的账户信息。
个人中心:这是用户操作的主要入口,包含以下子功能:
个人首页:展示用户的基本信息和活动概况。
贫困申请:查看和管理自己的贫困申请状态。
问卷调查:参与或查看调查问卷,反馈个人意见或需求。
提交问卷:提交已完成的问卷。
农产信息:浏览和参与农产品展示与购买。
报名信息:查看自己报名参与的各类活动信息。
求助论坛:浏览并参与求助论坛中的讨论和问题解答。
收藏:收藏感兴趣的内容或活动。
评论管理:查看和管理自己在平台上发表的评论。
注册用户用例图如图3-1所示。

图3-1 注册用户用例图
3.3.2管理员功能
数据分析:管理员可以查看平台数据,进行分析,确保平台运营的健康与效率。
角色管理:管理不同角色的用户,配置用户的权限,确保平台功能按需分配。
贫困申请管理:管理员审核贫困申请,确保申请者符合标准,并对其进行审批或驳回。
申请类型管理:设置不同类型的贫困申请,分类处理各类贫困信息。
问卷调查管理:管理员设计并管理问卷,收集农户或用户的意见与需求。
提交问卷管理:查看并审核用户提交的问卷信息,确保数据完整与有效。
衣产信息管理:管理员可管理平台上的农产品等相关信息,帮助农户展示他们的产品。
产品类型管理:对平台上销售的产品进行分类管理,优化展示效果。
帮扶活动管理:管理和发布各种扶贫活动信息,鼓励用户参与帮扶项目。
活动类型管理:管理员可对扶贫活动进行类型划分,便于管理和查找。
报名信息管理:管理平台上用户的活动报名信息,进行统计与审核。
系统管理:包括轮播图的设置、敏感词管理等,确保平台信息的准确与合规。
通知公告管理:发布平台的公告和通知,确保所有用户及时获得重要信息。
新闻管理:管理员可以管理与发布关于扶贫的新闻和资讯,更新平台的新闻内容。
包括助农资讯、资讯分类等。
交流管理:管理员可管理平台上的互动交流,确保讨论的健康性和积极性。
权限管理:管理员管理其他用户的权限,确保平台操作的安全性与规范性。
管理员用例图如图3-2所示。

图3-2管理员用例图
3.4系统流程分析
3.4.1程序操作流程
用户访问系统,可以选择进行注册或登录操作。注册成功后,用户可以使用注册的账号登录平台。登录后的用户可以进入系统功能界面,使用自己权限内的功能操作。程序操作流程图如图3-3所示。

图3-3 程序操作流程图
3.4.2登录流程
用户访问系统,进入登录页面页面,入其用户名和密码,后端服务接收登录请求,验证用户提供的用户名和密码是否匹配数据库中存储的信息,验证通过即可登录成功。登录流程图如图3-4所示。

图3-4 登录流程图
3.4.3注册流程
未有账号的用户可进入注册界面进行注册操作,填写注册表格,包括用户名、密码、电子邮件等必要信息。后台系统验证并保存用户提交的信息。分配唯一用户标识符。注册成功后,用户可以使用账号密码进行登录。用户注册流程图如图3-5所示。

图3-5注册流程图
4 系统设计
4.1系统架构设计
系统由表现层、业务逻辑层、数据访问层和数据库服务器组成。表现层通过浏览器(如IE、Chrome、Firefox)与用户交互,采用FreeMarker、Bootstrap、jQuery等技术实现界面呈现。业务逻辑层负责处理系统的核心业务逻辑,通过分模块设计实现功能分离。数据访问层使用MyBatis框架连接数据库,执行数据的增删改查操作。数据库服务器采用MySQL进行数据存储和管理,为系统提供稳定的数据库支持。整个架构通过Tomcat服务器完成用户请求的接收和处理,确保系统的高效运行[8]。整个系统架构如图4-1所示。

图4-1 系统架构图
4.2系统总体功能设计

图4-2 系统功能结构图
4.3数据库设计
数据库设计是系统开发中至关重要的环节,为系统提供高效、规范的数据存储和管理方案。设计过程包括需求分析、实体设计、表设计和逻辑结构设计。首先,通过分析业务需求,确定系统的核心实体及其属性,同时明确实体间的关系。接着,将实体抽象为具体的数据库表,为每张表定义字段名、数据类型、主键和外键,通过主外键关系和关联表设计,保证数据的完整性和一致性。最后,数据库逻辑设计进一步优化表之间的关系,通过索引、视图和存储过程提升查询效率和操作性能。整个设计需严格遵循规范,避免数据冗余和冲突,确保系统在高并发访问和复杂数据处理场景下的稳定性和高效性。
4.3.1数据库实体设计
数据库实体设计是数据库设计的关键步骤,对实际业务逻辑中涉及的实体及其属性进行抽象建模,明确系统中的主要信息对象及其关系[9]。在实体设计中,根据需求分析确定系统的核心实体,如用户、角色、权限等,提取实体的主要属性,如用户的ID、姓名、联系方式,名称、类型等,同时定义各实体之间的关系,包括一对一、一对多、多对多等。在设计过程中,注重实体的完整性、规范性和唯一性,确保设计能够满足系统功能需求,并为后续的表设计提供清晰的结构框架。实体设计需遵循数据库设计的标准化要求,避免数据冗余和不必要的复杂度。以下是系统各个实体图和总体E-R图。
(1)管理员实体属性图如下图4-3所示

图4-3管理员实体属性图
(2) 注册用户实体属性如下图4-4所示

图4-4注册用户实体属性图
(3) 农产信息实体属性如下图4-5所示

图4-5农产信息实体属性图
(4) 报名信息实体属性如下图4-6所示

图4-6报名信息实体属性图
(5) 资讯实体属性如下图4-7所示

图4-7资讯信息实体属性图
(6) 帮扶活动实体属性如下图4-8所示

图4-8帮扶活动实体属性图
(7) 贫困申请实体属性如下图4-9所示

图4-9贫困申请实体属性图
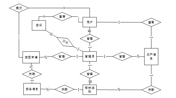
(6)系统总E-R图如下图4-10所示

图4-10系统E-R图
4.3.2数据库表设计
数据库表设计基于实体设计,将抽象的实体映射为具体的表结构。设计过程中,为每个实体定义表名、字段名及数据类型 [10]。根据业务需求,合理定义主键、外键及约束条件,确保表之间的关联性,例如通过外键建立用户表和角色表之间的关系。表设计时注重数据存储的完整性、一致性,并通过索引优化查询效率,最终确保数据库结构能够支持系统的功能需求。以下是系统的数据库表设计展示。
|
编号 |
字段名 |
类型 |
长度 |
是否非空 |
是否主键 |
注释 |
|
1 |
token_id |
int |
是 |
是 |
临时访问牌ID |
|
|
2 |
token |
varchar |
64 |
否 |
否 |
临时访问牌 |
|
3 |
info |
text |
65535 |
否 |
否 |
信息 |
|
4 |
maxage |
int |
是 |
否 |
最大寿命:默认2小时 |
|
|
5 |
create_time |
timestamp |
是 |
否 |
创建时间 |
|
|
6 |
update_time |
timestamp |
是 |
否 |
更新时间 |
|
|
7 |
user_id |
int |
是 |
否 |
用户编号 |
表 4-2-activity_type(活动类型)
|
编号 |
字段名 |
类型 |
长度 |
是否非空 |
是否主键 |
注释 |
|
1 |
activity_type_id |
int |
是 |
是 |
活动类型ID |
|
|
2 |
activity_type |
varchar |
64 |
否 |
否 |
活动类型 |
|
3 |
create_time |
datetime |
是 |
否 |
创建时间 |
|
|
4 |
update_time |
timestamp |
是 |
否 |
更新时间 |
表 4-3-agricultural_product_information(农产信息)
|
编号 |
字段名 |
类型 |
长度 |
是否非空 |
是否主键 |
注释 |
|
1 |
agricultural_product_information_id |
int |
是 |
是 |
农产信息ID |
|
|
2 |
user_account |
int |
否 |
否 |
用户账号 |
|
|
3 |
product_number |
varchar |
64 |
否 |
否 |
产品编号 |
|
4 |
product_name |
varchar |
64 |
否 |
否 |
产品名称 |
|
5 |
product_type |
varchar |
64 |
否 |
否 |
产品类型 |
|
6 |
cover_image |
varchar |
255 |
否 |
否 |
封面图片 |
|
7 |
product_origin |
varchar |
64 |
否 |
否 |
产品产地 |
|
8 |
product_details |
longtext |
4294967295 |
否 |
否 |
产品详情 |
|
9 |
hits |
int |
是 |
否 |
点击数 |
|
|
10 |
praise_len |
int |
是 |
否 |
点赞数 |
|
|
11 |
collect_len |
int |
是 |
否 |
收藏数 |
|
|
12 |
comment_len |
int |
是 |
否 |
评论数 |
|
|
13 |
examine_state |
varchar |
16 |
是 |
否 |
审核状态 |
|
14 |
examine_reply |
varchar |
255 |
否 |
否 |
审核回复 |
|
15 |
create_time |
datetime |
是 |
否 |
创建时间 |
|
|
16 |
update_time |
timestamp |
是 |
否 |
更新时间 |
表 4-4-article(文章)
|
编号 |
字段名 |
类型 |
长度 |
是否非空 |
是否主键 |
注释 |
|
1 |
article_id |
mediumint |
是 |
是 |
文章id |
|
|
2 |
title |
varchar |
125 |
是 |
是 |
标题 |
|
3 |
type |
varchar |
64 |
是 |
否 |
文章分类 |
|
4 |
hits |
int |
是 |
否 |
点击数 |
|
|
5 |
praise_len |
int |
是 |
否 |
点赞数 |
|
|
6 |
create_time |
timestamp |
是 |
否 |
创建时间 |
|
|
7 |
update_time |
timestamp |
是 |
否 |
更新时间 |
|
|
8 |
source |
varchar |
255 |
否 |
否 |
来源 |
|
9 |
url |
varchar |
255 |
否 |
否 |
来源地址 |
|
10 |
tag |
varchar |
255 |
否 |
否 |
标签 |
|
11 |
content |
longtext |
4294967295 |
否 |
否 |
正文 |
|
12 |
img |
varchar |
255 |
否 |
否 |
封面图 |
|
13 |
description |
text |
65535 |
否 |
否 |
文章描述 |
表 4-5-article_type(文章分类)
|
编号 |
字段名 |
类型 |
长度 |
是否非空 |
是否主键 |
注释 |
|
1 |
type_id |
smallint |
是 |
是 |
分类ID |
|
|
2 |
display |
smallint |
是 |
否 |
显示顺序 |
|
|
3 |
name |
varchar |
16 |
是 |
否 |
分类名称 |
|
4 |
father_id |
smallint |
是 |
否 |
上级分类ID |
|
|
5 |
description |
varchar |
255 |
否 |
否 |
描述 |
|
6 |
icon |
text |
65535 |
否 |
否 |
分类图标 |
|
7 |
url |
varchar |
255 |
否 |
否 |
外链地址 |
|
8 |
create_time |
timestamp |
是 |
否 |
创建时间 |
|
|
9 |
update_time |
timestamp |
是 |
否 |
更新时间 |
表 4-6-auth(用户权限管理)
|
编号 |
字段名 |
类型 |
长度 |
是否非空 |
是否主键 |
注释 |
|
1 |
auth_id |
int |
是 |
是 |
授权ID |
|
|
2 |
user_group |
varchar |
64 |
否 |
否 |
用户组 |
|
3 |
mod_name |
varchar |
64 |
否 |
否 |
模块名 |
|
4 |
table_name |
varchar |
64 |
否 |
否 |
表名 |
|
5 |
page_title |
varchar |
255 |
否 |
否 |
页面标题 |
|
6 |
path |
varchar |
255 |
否 |
否 |
路由路径 |
|
7 |
parent |
varchar |
64 |
否 |
否 |
父级菜单 |
|
8 |
parent_sort |
int |
是 |
否 |
父级菜单排序 |
|
|
9 |
position |
varchar |
32 |
否 |
否 |
位置 |
|
10 |
mode |
varchar |
32 |
是 |
否 |
跳转方式 |
|
11 |
add |
tinyint |
是 |
否 |
是否可增加 |
|
|
12 |
del |
tinyint |
是 |
否 |
是否可删除 |
|
|
13 |
set |
tinyint |
是 |
否 |
是否可修改 |
|
|
14 |
get |
tinyint |
是 |
否 |
是否可查看 |
|
|
15 |
field_add |
text |
65535 |
否 |
否 |
添加字段 |
|
16 |
field_set |
text |
65535 |
否 |
否 |
修改字段 |
|
17 |
field_get |
text |
65535 |
否 |
否 |
查询字段 |
|
18 |
table_nav_name |
varchar |
500 |
否 |
否 |
跨表导航名称 |
|
19 |
table_nav |
varchar |
500 |
否 |
否 |
跨表导航 |
|
20 |
option |
text |
65535 |
否 |
否 |
配置 |
|
21 |
create_time |
timestamp |
是 |
否 |
创建时间 |
|
|
22 |
update_time |
timestamp |
是 |
否 |
更新时间 |
表 4-7-code_token(验证码)
|
编号 |
字段名 |
类型 |
长度 |
是否非空 |
是否主键 |
注释 |
|
1 |
code_token_id |
int |
是 |
是 |
验证码ID |
|
|
2 |
token |
varchar |
255 |
否 |
否 |
令牌 |
|
3 |
code |
varchar |
255 |
否 |
否 |
验证码 |
|
4 |
expire_time |
timestamp |
是 |
否 |
失效时间 |
|
|
5 |
create_time |
timestamp |
是 |
否 |
创建时间 |
|
|
6 |
update_time |
timestamp |
是 |
否 |
更新时间 |
表 4-8-collect(收藏)
|
编号 |
字段名 |
类型 |
长度 |
是否非空 |
是否主键 |
注释 |
|
1 |
collect_id |
int |
是 |
是 |
收藏ID |
|
|
2 |
user_id |
int |
是 |
是 |
收藏人ID |
|
|
3 |
source_table |
varchar |
255 |
否 |
否 |
来源表 |
|
4 |
source_field |
varchar |
255 |
否 |
否 |
来源字段 |
|
5 |
source_id |
int |
是 |
否 |
来源ID |
|
|
6 |
title |
varchar |
255 |
否 |
否 |
标题 |
|
7 |
img |
varchar |
255 |
否 |
否 |
封面 |
|
8 |
create_time |
timestamp |
是 |
否 |
创建时间 |
|
|
9 |
update_time |
timestamp |
是 |
否 |
更新时间 |
表 4-9-comment(评论)
|
编号 |
字段名 |
类型 |
长度 |
是否非空 |
是否主键 |
注释 |
|
1 |
comment_id |
int |
是 |
是 |
评论ID |
|
|
2 |
user_id |
int |
是 |
是 |
评论人ID |
|
|
3 |
reply_to_id |
int |
是 |
否 |
回复评论ID |
|
|
4 |
content |
longtext |
4294967295 |
否 |
否 |
内容 |
|
5 |
nickname |
varchar |
255 |
否 |
否 |
昵称 |
|
6 |
avatar |
varchar |
255 |
否 |
否 |
头像地址 |
|
7 |
create_time |
timestamp |
是 |
否 |
创建时间 |
|
|
8 |
update_time |
timestamp |
是 |
否 |
更新时间 |
|
|
9 |
source_table |
varchar |
255 |
否 |
否 |
来源表 |
|
10 |
source_field |
varchar |
255 |
否 |
否 |
来源字段 |
|
11 |
source_id |
int |
是 |
否 |
来源ID |
表 4-10-enrollment_information(报名信息)
|
编号 |
字段名 |
类型 |
长度 |
是否非空 |
是否主键 |
注释 |
|
1 |
enrollment_information_id |
int |
是 |
是 |
报名信息ID |
|
|
2 |
enrolled_user |
int |
否 |
否 |
报名用户 |
|
|
3 |
activity_title |
varchar |
64 |
否 |
否 |
活动标题 |
|
4 |
activity_type |
varchar |
64 |
否 |
否 |
活动类型 |
|
5 |
number_of_enrolment |
double |
否 |
否 |
报名人数 |
|
|
6 |
registration_time |
date |
否 |
否 |
报名时间 |
|
|
7 |
registration_remarks |
text |
65535 |
否 |
否 |
报名备注 |
|
8 |
examine_state |
varchar |
16 |
是 |
否 |
审核状态 |
|
9 |
examine_reply |
varchar |
255 |
否 |
否 |
审核回复 |
|
10 |
create_time |
datetime |
是 |
否 |
创建时间 |
|
|
11 |
update_time |
timestamp |
是 |
否 |
更新时间 |
|
|
12 |
source_table |
varchar |
255 |
否 |
否 |
来源表 |
|
13 |
source_id |
int |
否 |
否 |
来源ID |
|
|
14 |
source_user_id |
int |
否 |
否 |
来源用户 |
表 4-11-forum(论坛)
|
编号 |
字段名 |
类型 |
长度 |
是否非空 |
是否主键 |
注释 |
|
1 |
forum_id |
mediumint |
是 |
是 |
论坛ID |
|
|
2 |
display |
smallint |
是 |
否 |
排序 |
|
|
3 |
user_id |
mediumint |
是 |
否 |
用户ID |
|
|
4 |
nickname |
varchar |
16 |
否 |
否 |
昵称 |
|
5 |
praise_len |
int |
否 |
否 |
点赞数 |
|
|
6 |
hits |
int |
是 |
否 |
访问数 |
|
|
7 |
title |
varchar |
125 |
是 |
否 |
标题 |
|
8 |
keywords |
varchar |
125 |
否 |
否 |
关键词 |
|
9 |
description |
varchar |
255 |
否 |
否 |
描述 |
|
10 |
url |
varchar |
255 |
否 |
否 |
来源地址 |
|
11 |
tag |
varchar |
255 |
否 |
否 |
标签 |
|
12 |
img |
text |
65535 |
否 |
否 |
封面图 |
|
13 |
content |
longtext |
4294967295 |
否 |
否 |
正文 |
|
14 |
create_time |
timestamp |
是 |
否 |
创建时间 |
|
|
15 |
update_time |
timestamp |
是 |
否 |
更新时间 |
|
|
16 |
avatar |
varchar |
255 |
否 |
否 |
发帖人头像 |
|
17 |
type |
varchar |
64 |
是 |
否 |
论坛分类 |
|
18 |
istop |
int |
是 |
否 |
是否置顶 |
表 4-12-forum_type(论坛分类)
|
编号 |
字段名 |
类型 |
长度 |
是否非空 |
是否主键 |
注释 |
|
1 |
type_id |
smallint |
是 |
是 |
分类ID |
|
|
2 |
name |
varchar |
16 |
是 |
否 |
分类名称 |
|
3 |
description |
varchar |
255 |
否 |
否 |
描述 |
|
4 |
url |
varchar |
255 |
否 |
否 |
外链地址 |
|
5 |
father_id |
smallint |
是 |
否 |
上级分类ID |
|
|
6 |
icon |
varchar |
255 |
否 |
否 |
分类图标 |
|
7 |
create_time |
timestamp |
是 |
否 |
创建时间 |
|
|
8 |
update_time |
timestamp |
是 |
否 |
更新时间 |
表 4-13-helping_activities(帮扶活动)
|
编号 |
字段名 |
类型 |
长度 |
是否非空 |
是否主键 |
注释 |
|
1 |
helping_activities_id |
int |
是 |
是 |
帮扶活动ID |
|
|
2 |
activity_title |
varchar |
64 |
否 |
否 |
活动标题 |
|
3 |
activity_type |
varchar |
64 |
否 |
否 |
活动类型 |
|
4 |
activity_time |
datetime |
否 |
否 |
活动时间 |
|
|
5 |
cover_image |
varchar |
255 |
否 |
否 |
封面图片 |
|
6 |
activity_location |
varchar |
64 |
否 |
否 |
活动地点 |
|
7 |
activity_demand |
text |
65535 |
否 |
否 |
活动需求 |
|
8 |
activity_details |
longtext |
4294967295 |
否 |
否 |
活动详情 |
|
9 |
hits |
int |
是 |
否 |
点击数 |
|
|
10 |
praise_len |
int |
是 |
否 |
点赞数 |
|
|
11 |
collect_len |
int |
是 |
否 |
收藏数 |
|
|
12 |
comment_len |
int |
是 |
否 |
评论数 |
|
|
13 |
enrollment_information_limit_times |
int |
是 |
否 |
在线报名限制次数 |
|
|
14 |
create_time |
datetime |
是 |
否 |
创建时间 |
|
|
15 |
update_time |
timestamp |
是 |
否 |
更新时间 |
表 4-14-hits(用户点击)
|
编号 |
字段名 |
类型 |
长度 |
是否非空 |
是否主键 |
注释 |
|
1 |
hits_id |
int |
是 |
是 |
点赞ID |
|
|
2 |
user_id |
int |
是 |
否 |
点赞人 |
|
|
3 |
create_time |
timestamp |
是 |
否 |
创建时间 |
|
|
4 |
update_time |
timestamp |
是 |
否 |
更新时间 |
|
|
5 |
source_table |
varchar |
255 |
否 |
否 |
来源表 |
|
6 |
source_field |
varchar |
255 |
否 |
否 |
来源字段 |
|
7 |
source_id |
int |
是 |
否 |
来源ID |
表 4-15-notice(公告)
|
编号 |
字段名 |
类型 |
长度 |
是否非空 |
是否主键 |
注释 |
|
1 |
notice_id |
mediumint |
是 |
是 |
公告ID |
|
|
2 |
title |
varchar |
125 |
是 |
否 |
标题 |
|
3 |
content |
longtext |
4294967295 |
否 |
否 |
正文 |
|
4 |
create_time |
timestamp |
是 |
否 |
创建时间 |
|
|
5 |
update_time |
timestamp |
是 |
否 |
更新时间 |
表 4-16-poverty_application(贫困申请)
|
编号 |
字段名 |
类型 |
长度 |
是否非空 |
是否主键 |
注释 |
|
1 |
poverty_application_id |
int |
是 |
是 |
贫困申请ID |
|
|
2 |
user_application |
int |
否 |
否 |
申请用户 |
|
|
3 |
title_name |
varchar |
64 |
否 |
否 |
标题名称 |
|
4 |
application_time |
datetime |
否 |
否 |
申请时间 |
|
|
5 |
proof_of_application |
varchar |
255 |
否 |
否 |
申请证明 |
|
6 |
application_remarks |
text |
65535 |
否 |
否 |
申请备注 |
|
7 |
examine_state |
varchar |
16 |
是 |
否 |
审核状态 |
|
8 |
examine_reply |
varchar |
255 |
否 |
否 |
审核回复 |
|
9 |
questionnaire_survey_limit_times |
int |
是 |
否 |
发送问卷限制次数 |
|
|
10 |
create_time |
datetime |
是 |
否 |
创建时间 |
|
|
11 |
update_time |
timestamp |
是 |
否 |
更新时间 |
表 4-17-praise(点赞)
|
编号 |
字段名 |
类型 |
长度 |
是否非空 |
是否主键 |
注释 |
|
1 |
praise_id |
int |
是 |
是 |
点赞ID |
|
|
2 |
user_id |
int |
是 |
是 |
点赞人 |
|
|
3 |
create_time |
timestamp |
是 |
否 |
创建时间 |
|
|
4 |
update_time |
timestamp |
是 |
否 |
更新时间 |
|
|
5 |
source_table |
varchar |
255 |
否 |
否 |
来源表 |
|
6 |
source_field |
varchar |
255 |
否 |
否 |
来源字段 |
|
7 |
source_id |
int |
是 |
否 |
来源ID |
|
|
8 |
status |
tinyint |
是 |
否 |
点赞状态:1为点赞,0已取消 |
表 4-18-product_type(产品类型)
|
编号 |
字段名 |
类型 |
长度 |
是否非空 |
是否主键 |
注释 |
|
1 |
product_type_id |
int |
是 |
是 |
产品类型ID |
|
|
2 |
product_type |
varchar |
64 |
否 |
否 |
产品类型 |
|
3 |
create_time |
datetime |
是 |
否 |
创建时间 |
|
|
4 |
update_time |
timestamp |
是 |
否 |
更新时间 |
表 4-19-questionnaire_survey(问卷调查)
|
编号 |
字段名 |
类型 |
长度 |
是否非空 |
是否主键 |
注释 |
|
1 |
questionnaire_survey_id |
int |
是 |
是 |
问卷调查ID |
|
|
2 |
user_application |
int |
否 |
否 |
申请用户 |
|
|
3 |
title_name |
varchar |
64 |
否 |
否 |
标题名称 |
|
4 |
questionnaire_title |
varchar |
64 |
否 |
否 |
问卷标题 |
|
5 |
time_of_investigation |
datetime |
否 |
否 |
调查时间 |
|
|
6 |
questionnaire_description |
text |
65535 |
否 |
否 |
问卷描述 |
|
7 |
submission_of_questionnaire_limit_times |
int |
是 |
否 |
提交问卷限制次数 |
|
|
8 |
create_time |
datetime |
是 |
否 |
创建时间 |
|
|
9 |
update_time |
timestamp |
是 |
否 |
更新时间 |
|
|
10 |
source_table |
varchar |
255 |
否 |
否 |
来源表 |
|
11 |
source_id |
int |
否 |
否 |
来源ID |
|
|
12 |
source_user_id |
int |
否 |
否 |
来源用户 |
表 4-20-registered_user(注册用户)
|
编号 |
字段名 |
类型 |
长度 |
是否非空 |
是否主键 |
注释 |
|
1 |
registered_user_id |
int |
是 |
是 |
注册用户ID |
|
|
2 |
user_name |
varchar |
64 |
否 |
否 |
用户姓名 |
|
3 |
user_age |
double |
否 |
否 |
用户年龄 |
|
|
4 |
user_gender |
varchar |
64 |
否 |
否 |
用户性别 |
|
5 |
user_type |
varchar |
64 |
否 |
否 |
用户类型 |
|
6 |
examine_state |
varchar |
16 |
是 |
否 |
审核状态 |
|
7 |
user_id |
int |
是 |
否 |
用户ID |
|
|
8 |
create_time |
datetime |
是 |
否 |
创建时间 |
|
|
9 |
update_time |
timestamp |
是 |
否 |
更新时间 |
表 4-21-sensitive_vocabulary(敏感词汇)
|
编号 |
字段名 |
类型 |
长度 |
是否非空 |
是否主键 |
注释 |
|
1 |
sensitive_vocabulary_id |
int |
是 |
是 |
敏感词汇ID |
|
|
2 |
sensitive_vocabulary |
varchar |
64 |
否 |
否 |
敏感词汇 |
|
3 |
create_time |
datetime |
是 |
否 |
创建时间 |
|
|
4 |
update_time |
timestamp |
是 |
否 |
更新时间 |
表 4-22-slides(轮播图)
|
编号 |
字段名 |
类型 |
长度 |
是否非空 |
是否主键 |
注释 |
|
1 |
slides_id |
int |
是 |
是 |
轮播图ID |
|
|
2 |
title |
varchar |
64 |
否 |
否 |
标题 |
|
3 |
content |
varchar |
255 |
否 |
否 |
内容 |
|
4 |
url |
varchar |
255 |
否 |
否 |
链接 |
|
5 |
img |
varchar |
255 |
否 |
否 |
轮播图 |
|
6 |
hits |
int |
是 |
否 |
点击量 |
|
|
7 |
create_time |
timestamp |
是 |
否 |
创建时间 |
|
|
8 |
update_time |
timestamp |
是 |
否 |
更新时间 |
表 4-23-submission_of_questionnaire(提交问卷)
|
编号 |
字段名 |
类型 |
长度 |
是否非空 |
是否主键 |
注释 |
|
1 |
submission_of_questionnaire_id |
int |
是 |
是 |
提交问卷ID |
|
|
2 |
user_application |
int |
否 |
否 |
申请用户 |
|
|
3 |
title_name |
varchar |
64 |
否 |
否 |
标题名称 |
|
4 |
questionnaire_title |
varchar |
64 |
否 |
否 |
问卷标题 |
|
5 |
submission_time |
datetime |
否 |
否 |
提交时间 |
|
|
6 |
submission_content |
text |
65535 |
否 |
否 |
提交内容 |
|
7 |
create_time |
datetime |
是 |
否 |
创建时间 |
|
|
8 |
update_time |
timestamp |
是 |
否 |
更新时间 |
|
|
9 |
source_table |
varchar |
255 |
否 |
否 |
来源表 |
|
10 |
source_id |
int |
否 |
否 |
来源ID |
|
|
11 |
source_user_id |
int |
否 |
否 |
来源用户 |
表 4-24-upload(文件上传)
|
编号 |
字段名 |
类型 |
长度 |
是否非空 |
是否主键 |
注释 |
|
1 |
upload_id |
int |
是 |
是 |
上传ID |
|
|
2 |
name |
varchar |
64 |
否 |
否 |
文件名 |
|
3 |
path |
varchar |
255 |
否 |
否 |
访问路径 |
|
4 |
file |
varchar |
255 |
否 |
否 |
文件路径 |
|
5 |
display |
varchar |
255 |
否 |
否 |
显示顺序 |
|
6 |
father_id |
int |
否 |
否 |
父级ID |
|
|
7 |
dir |
varchar |
255 |
否 |
否 |
文件夹 |
|
8 |
type |
varchar |
32 |
否 |
否 |
文件类型 |
表 4-25-user(用户账户)
|
编号 |
字段名 |
类型 |
长度 |
是否非空 |
是否主键 |
注释 |
|
1 |
user_id |
int |
是 |
是 |
用户ID |
|
|
2 |
state |
smallint |
是 |
否 |
账户状态:(1可用|2异常|3已冻结|4已注销) |
|
|
3 |
user_group |
varchar |
32 |
否 |
否 |
所在用户组 |
|
4 |
login_time |
timestamp |
是 |
否 |
上次登录时间 |
|
|
5 |
phone |
varchar |
11 |
否 |
否 |
手机号码 |
|
6 |
phone_state |
smallint |
是 |
否 |
手机认证:(0未认证|1审核中|2已认证) |
|
|
7 |
username |
varchar |
16 |
是 |
否 |
用户名 |
|
8 |
nickname |
varchar |
16 |
否 |
否 |
昵称 |
|
9 |
password |
varchar |
64 |
是 |
否 |
密码 |
|
10 |
|
varchar |
64 |
否 |
否 |
邮箱 |
|
11 |
email_state |
smallint |
是 |
否 |
邮箱认证:(0未认证|1审核中|2已认证) |
|
|
12 |
avatar |
varchar |
255 |
否 |
否 |
头像地址 |
|
13 |
open_id |
varchar |
255 |
否 |
否 |
针对获取用户信息字段 |
|
14 |
create_time |
timestamp |
是 |
否 |
创建时间 |
表 4-26-user_group(用户组)
|
编号 |
字段名 |
类型 |
长度 |
是否非空 |
是否主键 |
注释 |
|
1 |
group_id |
mediumint |
是 |
是 |
用户组ID |
|
|
2 |
display |
smallint |
是 |
否 |
显示顺序 |
|
|
3 |
name |
varchar |
16 |
是 |
否 |
名称 |
|
4 |
description |
varchar |
255 |
否 |
否 |
描述 |
|
5 |
source_table |
varchar |
255 |
否 |
否 |
来源表 |
|
6 |
source_field |
varchar |
255 |
否 |
否 |
来源字段 |
|
7 |
source_id |
int |
是 |
否 |
来源ID |
|
|
8 |
register |
smallint |
否 |
否 |
注册位置 |
|
|
9 |
create_time |
timestamp |
是 |
否 |
创建时间 |
|
|
10 |
update_time |
timestamp |
是 |
否 |
更新时间 |
5 系统实现
5.1注册用户功能实现
5.1.1贫困申请
贫困申请是平台为有脱贫需求的农民提供的功能,注册用户可以在此提交贫困申请,说明个人或家庭的贫困状况,申请扶贫支持。平台会根据申请信息及相关政策进行审核,并向符合条件的用户提供帮助。界面如下图所示。

图5-1贫困申请界面图
5.1.2问卷调查
问卷调查模块是平台用于收集用户反馈和意见的工具。注册用户可以根据平台的邀请参与各种调查问卷,提供有关平台使用体验、扶贫政策的意见或农民需求等。通过问卷调查,平台能够更好地了解用户需求,优化服务,确保扶贫工作的精准化。界面如下图所示。

图5-2问卷调查界面图
5.1.3助农资讯
用户在资讯页面浏览助农资讯信息。通过分类标签筛选资讯类型,点击标题查看详细文章,页面提供评论区供用户交流心得。助农资讯界面如下图所示。

图5-3助农资讯界面
5.1.4农产信息
用户进入农产信息页面,浏览农产信息的图片、名称、描述等基本信息。通过搜索栏输入关键词或筛选条件,快速定位农产信息。可以点赞、收藏和评论。农产信息界面如下图所示。

图5-4农产信息界面
5.1.5报名信息
用户可以通过报名信息模块查看自己参与的各类扶贫活动、志愿者项目、农业培训等活动的报名情况。平台会为每个活动提供报名入口,注册用户可以在此提交个人信息,报名参加相关活动。界面如下图所示。

图5-5报名信息界面
5.1.6收藏
收藏功能使得用户能够保存他们感兴趣的内容,如农产品信息、政策通知、活动报名等。通过收藏功能,用户可以在后续轻松找到这些内容,避免错过重要信息或活动。界面如下图所示。

图5-6收藏界面
5.2管理员功能实现
5.2.1系统用户
在“系统用户”模块下,管理员可以管理系统上的两类用户:管理员和注册用户。管理员可以进行用户的增、删、改、查操作,包括设置权限、修改用户信息等。系统用户界面如下图所示。

图5-7系统用户界面
5.2.2申请类型管理
管理员点击“申请类型管理”这一菜单会显示申请类型列表和申请类型添加两个子菜单,点击“申请类型列表”可以查看申请类型详情,可以进行查询、重置和删除等操作。点击“申请类型添加”,管理员可以添加新的申请类型。申请类型管理界面如下图所示。

图5-8申请类型管理界面
5.2.3农产信息管理
管理员点击“农产信息管理”这一菜单会显示农产信息列表和农产信息添加两个子菜单,点击“农产信息列表”可以查看农产信息详情和用户评论,可以进行查询、重置和删除等操作。点击“农产信息添加”,管理员可以添加新的农产信息。农产信息管理界面如下图所示。

图5-9农产信息管理界面
5.2.4帮扶活动管理
管理员点击“帮扶活动管理”这一菜单会显示帮扶活动列表和帮扶活动添加两个子菜单,点击“帮扶活动列表”可以查看帮扶活动详情,可以进行查询、重置和删除等操作。点击“帮扶活动添加”,管理员可以添加新的帮扶活动。帮扶活动管理界面如下图所示。

图5-10帮扶活动管理界面
5.2.5轮播图管理
管理员点击“轮播图管理”菜单,可以对前台展示的轮播图进行设置,轮播图管理界面如下图所示。

图5-11轮播图管理界面
5.2.6通知公告管理
管理员点击“通知公告管理”这个菜单,可以对系统中的通知公告进行管理,包括公告的增删改查等操作。通知公告管理界面如下图所示。

图5-12通知公告管理界面
5.2.7新闻管理
管理员在新闻管理页面查看所有把助农资讯文章,支持新增、编辑和删除操作。点击“新增”填写标题、内容并上传图片,选择分类后发布。可批量删除过期文章。新闻管理界面如下图所示。

图5-13新闻管理界面
6 系统测试
6.1测试目的
测试的主要目的是确保系统的功能和性能满足预期的需求,同时识别和修复潜在的缺陷。通过系统测试,可以验证各个功能模块的正确性和稳定性,确保系统在不同使用场景下的表现符合设计要求。测试目的包括确认系统功能的完整性、验证数据处理的准确性、评估系统的性能和安全性。测试还可以提高用户满意度,保证用户在使用系统时获得流畅和可靠的体验。通过全面的测试,可以降低后期维护成本,减少系统上线后出现故障的风险,从而保障系统的长期稳定运行。
6.2测试方法
在本系统中,测试方法主要依赖于测试用例的设计与执行。测试用例是根据系统需求文档编写的,覆盖所有功能模块及其边界情况。每个测试用例包含输入数据、预期结果和实际结果的对比,以验证系统的功能是否按预期工作。
常见的测试用例包括功能测试用例、边界测试用例和异常测试用例[11]。功能测试用例针对系统的各项功能进行验证;边界测试用例则侧重于输入数据的边界条件,验证系统在极端情况下是否能够稳定运行;异常测试用例则用于验证系统在处理错误输入或异常情况时的反应。本文选择功能测试用例进行系统测试。
在测试执行过程中,记录每个用例的执行结果,并根据实际结果与预期结果的对比,判断系统是否存在缺陷。通过系统化的测试用例执行,可以有效提高测试的覆盖率和效率,为系统的最终上线提供保障。
6.3测试内容
通过对系统中所含的主要实体对象及其功能操作进行测试用例设计。以下是详细的测试:
表6-1用户注册登录测试表
用户注册登录测试用例:
|
用例说明 |
测试目的 |
测试步骤 |
预期结果 |
输出结果 |
通过情况 |
|
用户注册、登录 |
测试用户正确注册、登录 |
|
用户注册成功,登录成功 |
结果输出符合预期 |
通过 |
表6-2贫困申请测试表
贫困申请用例:
|
用例说明 |
测试目的 |
测试步骤 |
预期结果 |
输出结果 |
通过情况 |
|
贫困申请 |
测试用户贫困申请功能 |
|
用户贫困申请成功,生成新的贫困申请信息 |
结果输出符合预期 |
通过 |
表6-3农产信息评论测试表
农产信息评论测试用例:
|
用例说明 |
测试目的 |
测试步骤 |
预期结果 |
输出结果 |
通过情况 |
|
农产信息评论 |
测试用户农产信息评论功能 |
1、在首页点击农产信息并看详情; 2、点击评论,输入相关信息点击提交 |
生成新的评论信息 |
结果输出符合预期 |
通过 |
表6-4农产信息添加测试表
管理员农产信息添加测试用例:
|
用例说明 |
测试目的 |
测试步骤 |
预期结果 |
输出结果 |
通过情况 |
|
农产信息添加测试 |
测试管理员添加农产信息功能 |
|
农产信息添加成功 |
结果输出符合预期 |
通过 |
表6-5公告删除测试表
公告删除测试用例:
|
用例说明 |
测试目的 |
测试步骤 |
预期结果 |
输出结果 |
通过情况 |
|
公告删除测试 |
测试公告删除功能 |
|
公告删除成功,前端不在展示该公告 |
结果输出符合预期 |
通过 |
6.4测试结果
在本次测试的过程主要针对所有功能下的添加操作,修改操作和删除操作,并以真实数据一一进行相关功能项目的输入,最终能够保证每个项目涉及的功能都是能够正常运行,因此能够保证本次设计的,已实现的功能能够正常运行并且相关数据库的信息也同样保证正确。
7 总结
经过一个学期的毕业设计的实现完成已接近尾声,到目前为止,当我回想起整个学期的系统开发日,收获颇丰。毕业设计的主要任务是建立一个智能化的助农扶贫信息平台,主要使用springboot+vue框架和Mysql数据库的开发工具,对系统的每个功能模块进行相对应的操作,最后,系统调试结果表明系统基本可以满足功能要求。
助农扶贫信息平台的开发对我大学学习的改进有很大帮助。它使我能够学习计算机知识的相关技术方面问题及与人交往的沟通交流方面,让我意识到无论我们做什么,我们都需要坚持不懈,努力工作,只有这样尝试了并且坚持去做了,我们才可以成功,才可以获得成功的喜悦,如果没有尝试,只是想,那连成功的机会都没有,实际操作进行做了,才会越来越近的靠近成功,随着道路一路向前,未来的路是美好的。
在项目的设计过程中,我克服了各种困难,并且在面对这些困难,我积极的面对,想办法解决问题,并且更好的掌握了理论知识和动手操作实践能力,从系统的开发到设计完成,我完成了一个更全面、更完善、更安全的系统,这也让我取得了很大的成就感,也使我对未来的生活更有信心。
参考文献
- 刘江涛,王亮亮,吴庆茹,等.基于B/S模式的铁路勘测设计案例信息化管理系统设计与实现[J].铁路计算机应用,2021,30(03):32-35.
- 张丹丹,李弘.基于B/S架构的办公管理系统设计与开发[J].铁路通信信号工程技术,2024,21(09):44-48+106.
- 王志亮,纪松波.基于SpringBoot的Web前端与数据库的接口设计[J].工业控制计算机,2023,36(03):51-53.
- 熊永平.基于SpringBoot框架应用开发技术的分析与研究[J].电脑知识与技术,2021,15(36):76-77.
- 赵媛.基于Vue的Web系统前端性能优化分析[J].电脑编程技巧与维护,2024,(09):44-46.
- 秦冬.浅析Vue框架在前端开发中的应用[J].信息与电脑(理论版),2024,36(13):61-63.
- 李艳杰.MySQL数据库下存储过程的综合运用研究[J].现代信息科技,2023,7(11):80-82+88.
- 陈倩怡,何军.Vue+Springboot+MyBatis技术应用解析[J].电脑编程技巧与维护,2020,(01):14-15+28.
- 周晓玉,崔文超.基于Web技术的数据库应用系统设计[J].信息与电脑(理论版),2023,35(09):189-191.
- 马艳艳,吴晓光.计算机软件与数据库的设计策略分析[J].电子技术,2024,53(05):104-105.
- 李俊萌.计算机软件测试技术与开发应用策略分析[J].信息记录材料,2023,24(03):50-52.
- 戴一灿.基于共生理论的瑞安市“善康”农产品运营平台助农模式实践探究[J].农业技术与装备,2025,(02):53-54+57.
- Ma G ,Duan H .Research on Big Data-Driven Innovation in Java Programming Education[J].Exploration of Educational Management,2024,2(12):
- Wang Q ,Zheng L ,Hong R .Exploration on the Teaching Model of Java Programming and Practice for Students with No Programming Background[J].Advances in Educational Technology and Psychology,2024,8(6):
- 赖守亮,谭顺顺,杨环宇.“湘村”振兴视域下助农平台设计实践研究[J].鞋类工艺与设计,2024,4(18):100-102.
- 何斌.基于社会创新理论的电商助农服务设计研究[D].南昌大学,2024.DOI:10.27232/d.cnki.gnchu.2024.001002.
- Ullenboom C .Java Programming Exercises:Volume Two: Java Standard Library[M].CRC Press:2024-03-30.
- 杜晓霞.Z电商平台助农策略优化研究[D].重庆工商大学,2023.DOI:10.27713/d.cnki.gcqgs.2023.000670.
- 蒲雨欣.基于微博平台的助农活动传播研究[D].湘潭大学,2023.DOI:10.27426/d.cnki.gxtdu.2023.002313.
- 陈雅昕,许丽.基于云开发的三农信息平台的设计与实现[J].数字技术与应用,2023,41(02):175-177+200.DOI:10.19695/j.cnki.cn12-1369.2023.02.50.
致谢
本论文的完成离不开众多导师、同学以及亲友的支持与帮助。在此,首先向我的导师表示最诚挚的感谢。在整个研究和写作过程中,导师以严谨治学的态度和丰富的专业知识给予了我无私的指导,从论文选题到最终定稿的每一个环节,都为我提供了宝贵的建议与意见,使我得以不断完善研究内容、拓展学术视野。导师耐心细致的指导不仅帮助我解决了许多学术难题,也让我在研究能力与学术写作方面得到了显著的提升。导师的鼓励与支持是我完成这篇论文的重要动力,也让我深刻体会到学术研究的严谨性与意义。
我还要感谢在学习生活中给予我帮助和支持的同学、朋友以及家人。论文撰写过程中,许多同学与我共同探讨问题,分享经验与资料,使我的研究更加全面深入。朋友们的关心和陪伴让我在繁忙的研究过程中能够调节心情,保持良好的状态。特别感谢我的家人,他们始终给予我无条件的理解和支持,为我创造了安心学习与研究的环境。正是因为有了大家的帮助和支持,我才能克服论文写作中的重重困难并顺利完成。再次向所有支持和帮助过我的人表达衷心的感谢。
免费领取项目源码,请关注❤点赞收藏并私信博主,谢谢-
更多推荐



所有评论(0)