(最新原创毕设)Java在线考试系统/03.22(白嫖源码+演示录像)|可做计算机毕设Java、Python、PHP、小程序APP、C#、爬虫大数据、单片机、文案
系统通过Spring Boot作为核心框架,结合MySQL数据库进行数据存储,采用前后端分离的技术架构,实现了用户、教师、管理员等不同角色的权限管理,提供了在线考试、试题管理、成绩统计、公告发布等功能。系统支持多种题型,包括选择题、填空题、问答题等,并能够实时评卷、统计成绩,极大提高了考试的自动化程度和便捷性。
摘要
随着信息技术的不断发展和教育模式的转型,传统的线下考试逐渐向线上化转变。在线考试系统作为一种新型的考试形式,不仅提高了考试的效率,还为学生提供了更加灵活的学习和测试环境。本文主要研究了基于Spring Boot框架的在线考试系统的设计与实现。系统通过Spring Boot作为核心框架,结合MySQL数据库进行数据存储,采用前后端分离的技术架构,实现了用户、教师、管理员等不同角色的权限管理,提供了在线考试、试题管理、成绩统计、公告发布等功能。系统支持多种题型,包括选择题、填空题、问答题等,并能够实时评卷、统计成绩,极大提高了考试的自动化程度和便捷性。
本文介绍了在线考试系统的需求分析,针对不同角色的功能进行设计,详细描述了系统的架构设计和技术选型。接着,针对系统实现的核心功能模块,如考试管理、用户管理、成绩统计等进行了深入的讨论。通过系统的测试和使用案例,验证了系统的稳定性、可靠性及高效性,为教育行业的在线考试提供了一个可行的解决方案。
关键词:在线考试系统;Spring Boot;前后端分离;权限管理;自动化评卷
Abstract
With the continuous development of information technology and the transformation of education models, traditional offline exams are gradually shifting towards online ones. As a new form of examination, online examination systems not only improve the efficiency of exams, but also provide students with a more flexible learning and testing environment. This article mainly studies the design and implementation of an online examination system based on the Spring Boot framework. The system uses Spring Boot as the core framework, combined with MySQL database for data storage, and adopts a front-end and back-end separation technology architecture to achieve permission management for different roles such as users, teachers, and administrators. It provides functions such as online exams, test management, score statistics, and announcement publishing. The system supports multiple question types, including multiple-choice questions, fill in the blank questions, and Q&A questions, and can perform real-time grading and score statistics, greatly improving the automation and convenience of exams.
This article introduces the requirements analysis of an online examination system, designs functions for different roles, and provides a detailed description of the system's architecture design and technology selection. Subsequently, in-depth discussions were conducted on the core functional modules of the system implementation, such as exam management, user management, and score statistics. Through system testing and use cases, the stability, reliability, and efficiency of the system have been verified, providing a feasible solution for online exams in the education industry.
Key words: Online examination system; Spring Boot; Front and rear separation; Permission management; Automated grading
目录
1 绪论
1.1研究背景
随着信息技术的快速发展,特别是互联网和云计算技术的成熟,传统的教育模式正在发生深刻变革。教育信息化成为现代教育发展的重要趋势,推动了教育的数字化与智能化进程。在线考试系统作为这一变革的关键组成部分,以其高效和便捷的特点逐渐取代传统的纸质考试。传统的线下考试受时间和地点限制,且在大规模考试中,组织、管理和批改的压力巨大。与之相比,在线考试系统能够提供更快速、自动化的评卷服务,减少人工干预和资源浪费。
教育机构逐渐认识到,通过信息化手段优化考试管理、提升教学质量是现代化教育的重要途径。传统考试方式未能充分发挥技术的优势,尤其在个性化教学、实时评估和数据分析等方面。因此,设计并实现一个高效、智能的在线考试系统成为亟待解决的问题。
Spring Boot作为一种简洁高效的开发框架,具有良好的扩展性,成为开发在线考试系统的理想选择。它内置的功能模块和前后端分离设计,不仅提升了开发效率,也满足了教育场景中的多样化需求。在此背景下,基于Spring Boot的在线考试系统的研究与开发,将为教育机构提供更为高效的考试管理工具,并推动教育信息化和智能化进程。
1.2研究意义
在线考试系统的研究与开发不仅是教育信息化发展的重要组成部分,也是提升教育管理与教学效率的关键途径。随着技术的不断进步,尤其是互联网和云计算的普及,传统的纸质考试模式已经无法满足日益增长的考试需求。在线考试系统能够通过自动化的评卷和成绩分析,极大地减少人工干预,提高考试效率,同时也为学生和教师提供了更加灵活和便捷的学习和考试环境。通过这一系统,考试的组织、管理和评判过程将变得更加高效、透明、客观,确保了教育公平性。
开发基于Spring Boot的在线考试系统具有深远的意义。Spring Boot框架具有高效、灵活和易扩展的特点,能够为系统的开发、维护和升级提供有力支持。在教育信息化的背景下,利用该框架设计开发在线考试系统,不仅能优化考试管理过程,还能为教育机构提供可持续发展的技术解决方案。同时,在线考试系统也为教学质量的提升提供了有力支持。借助数据分析功能,系统能够实时监测学生的学习情况,分析其学习薄弱点,从而为个性化教学和精细化管理提供依据。
在线考试系统的研究,不仅促进了教育信息化的发展,推动了教育教学模式的变革,还为提升教育质量、完善教育管理体系、提高学生的学习效率等方面提供了新的思路和实践方法。这一系统的普及应用,有望为教育行业带来更高的自动化水平、更加智能的管理手段,并最终推动教育领域的全面进步。
1.3国内外研究现状
在线考试系统随着信息技术的发展,逐渐成为现代教育管理和评估的重要组成部分。国内外在这一领域的研究均取得了一定的进展,但研究方向有所不同。
在国内,随着教育信息化的不断推进,在线考试系统逐渐得到教育机构的关注。许多高校和培训机构已开始应用此类系统,以提高考试管理效率和便捷性。例如,超星学习通和MOOC平台等在线教育平台,已经集成了在线考试功能,支持课程考试、测验及评估功能。国内的研究主要集中在系统的功能设计、用户界面的优化以及管理后台的简化上。许多研究探讨了如何将在线考试功能与已有的教学管理平台结合,以实现考试的全自动化管理。此外,国内也有研究针对系统的安全性进行探讨,如知网在线考试系统就提出了防作弊技术,包括通过IP限制、监控技术和随机抽题等方法来避免作弊行为。同时,国内的研究还关注题库管理和自动评卷功能的优化,提出了高效的题库管理方案和自动评分机制,以提高考试的公正性和管理效率。然而,许多国内系统在性能优化、可扩展性以及大规模考试时的稳定性方面仍面临挑战。
在国外,在线考试系统的研究起步较早,尤其是在欧美国家,在线考试在一些高校和企业培训中得到了广泛应用。比如,美国的Moodle和Blackboard等教育平台,已集成了在线考试模块,能够支持多种题型的设置,并且可以自动化地进行评分与反馈。Moodle不仅为教师提供了灵活的题库管理功能,还允许教师自定义考试设置,方便地进行批改与反馈。Blackboard作为一款广泛应用的学习管理系统,也支持在线考试功能,能够通过集成的安全机制来防止作弊。此外,国外的研究者还提出了如何通过技术手段避免作弊,如ProctorU和Respondus等在线监考系统,通过监控摄像头和人工智能技术来验证考生身份,确保考试的公正性。在数据分析方面,国外的系统通过收集和分析学生的考试数据,为教育机构提供了学习进度和知识掌握情况的可视化报告,有助于教学决策和个性化教育的实施。
尽管国内外的在线考试系统研究已取得了一定进展,但仍面临一些挑战。如何保证系统在大规模考试中的稳定性和高可用性,如何优化题库管理和自动评分机制,如何增强系统的安全性,仍是当前研究的重点。随着技术的发展,国内外在该领域的研究将继续深化,推动在线考试系统在教育行业的广泛应用。
2 相关技术介绍
2.1B/S框架
B/S(Browser/Server)架构是一种基于浏览器和服务器的应用架构模式。它以Web浏览器作为客户端,服务器端通过Web技术提供应用服务。客户端通过浏览器与服务器进行交互,用户无需安装专门的客户端应用程序,只需要通过互联网连接即可访问应用程序[1]。在B/S架构中,客户端主要承担用户界面的呈现和基本的输入输出功能,而核心的业务处理、数据存储等操作则由服务器端完成。这种架构的核心优势在于无需在每个客户端机器上安装或更新软件,只要用户的浏览器符合要求,就可以使用系统。
B/S(Browser/Server)架构是一种网络架构模型,其主要特点是客户端通过浏览器与服务器进行通信,所有的业务逻辑和数据处理都在服务器端完成,客户端仅负责展示数据[2]。B/S架构本质上是一种客户端-服务器模式的变体,它通过将传统的C/S(Client/Server)架构中的客户端功能移到浏览器中,简化了客户端的开发和维护工作。在B/S架构中,用户通过浏览器发送请求,浏览器负责展示从服务器获取的数据,服务器则处理请求并返回响应。该架构避免了安装和配置客户端软件的麻烦,也减少了对客户端硬件的依赖,适合于需要大规模部署和跨平台支持的应用系统。
B/S模式三层结构图如图2-1所示。

图2-1 B/S模式三层结构图
2.2 SpringBoot框架
SpringBoot是一个用于简化Spring应用开发的开源框架,通过减少开发人员配置和依赖的复杂性,使得开发者能够快速构建基于Spring的生产级应用。SpringBoot基于Spring框架之上,提供了一种自配置的方式,使得开发者可以以最少的配置来启动和开发Spring应用[3]。它通过约定优于配置的原则,将常见的配置预设,使得开发人员能够聚焦于业务逻辑的实现,而不必过多关注繁琐的配置和环境搭建。
SpringBoot框架的核心特点之一是其自动配置功能。它能够根据项目中已存在的类和库,自动推断出开发环境的配置需求,减少了手动配置的工作量。SpringBoot还提供了嵌入式Web服务器支持(如Tomcat、Jetty等),使得应用可以以独立的Java应用形式运行,不再依赖外部的Web容器。这种特性使得SpringBoot特别适合于微服务架构的构建。SpringBoot还通过其提供的启动器(Starters)简化了常见功能的集成,例如数据库连接、消息队列、缓存、认证与授权等,从而提升了开发效率[4]。
2.3 Vue技术
Vue.js是一款用于构建用户界面的渐进式JavaScript框架,提供一种灵活而高效的方式来开发单页面应用(SPA)。Vue的设计理念是通过尽量简化开发过程,提供一种声明式的方式来构建用户界面[5]。Vue.js通过数据驱动的视图模型,允许开发者以声明式语法绑定数据与视图,使得应用的状态和界面表现更加简洁和可维护。它的核心思想是通过组件化开发将复杂的UI拆分为可重用的独立模块,从而提升了代码的模块化、可维护性和可扩展性。
Vue.js具备响应式数据绑定和虚拟DOM的特性。响应式数据绑定意味着当数据变化时,Vue会自动更新与之绑定的DOM元素,从而实现视图的实时更新。虚拟DOM则是Vue.js的一种优化手段,通过将对DOM的操作抽象为一个虚拟的DOM树来提高性能,减少实际DOM操作的开销[6]。Vue还提供了丰富的插件和工具,如Vue Router用于路由管理,Vuex用于状态管理,方便开发者构建复杂的前端应用。Vue的灵活性和简洁性使其成为现代Web开发中常用的前端框架之一。
2.4 MySQL数据库
MySQL是一种开源的关系型数据库管理系统(RDBMS),基于SQL(结构化查询语言)进行数据操作。作为一个被广泛使用的数据库系统,MySQL具有高度的性能、可扩展性和可靠性。MySQL使用表格结构来存储数据,每个表由多个列和行组成,数据通过SQL查询语言进行操作[7]。MySQL支持多种数据类型,如整数、浮动小数、字符串、日期等,以满足不同应用场景对数据存储的需求。在实际应用中,MySQL通常用于存储和管理结构化数据,通过索引、视图、触发器等功能提升数据查询的效率和数据的完整性。
MySQL支持ACID事务特性(原子性、一致性、隔离性、持久性),确保数据库操作的可靠性和数据的一致性。它还支持多种存储引擎,其中InnoDB是最常用的存储引擎,具备事务支持、行级锁定和外键约束等特性,适用于高并发、高可靠性的数据存储需求。MySQL可以通过主从复制、分区和分库分表等技术实现横向扩展,以应对大规模数据存储和高负载的应用需求。MySQL还具有灵活的权限管理机制,支持用户角色管理、细粒度的权限控制等,保障数据的安全性。
3 需求分析
3.1可行性分析
3.1.1技术可行性
从技术可行性角度来看,所选技术能够充分满足当前应用需求。B/S架构具有良好的跨平台特性,借助浏览器端渲染与服务器端处理,能够实现不同操作系统和设备上的无缝访问。SpringBoot框架基于成熟的Spring生态,自动配置机制降低了开发与部署的复杂度,支持高效开发和微服务架构的实现。Vue.js作为前端技术,其响应式数据绑定和虚拟DOM优化使得大规模应用的构建与维护更加高效。MySQL数据库在数据存储、查询优化方面具有强大能力,其ACID事务特性与高并发支持能够保证数据一致性与系统稳定性,且广泛应用于多种行业,具备可扩展性和高效性。
3.1.2操作可行性
从操作可行性角度,所有选用的技术都有良好的文档支持和广泛的开发社区。B/S架构的实施依赖于常见的Web技术,技术栈成熟,操作流程规范,适合企业级应用的快速部署与运维。SpringBoot框架简化了Spring应用的配置与开发,集成了嵌入式Web服务器,使得开发者能够快速启动项目,减少了对开发环境和部署环境的依赖。Vue.js以组件化的设计思想,极大提升了前端开发的效率与代码复用性,操作简便。MySQL数据库提供了易于管理的用户界面,操作界面直观,支持多种操作系统,适合日常的数据库管理和维护工作。
3.1.3经济可行性
从经济可行性角度,所有选用的技术均为开源软件,降低了开发与部署成本。B/S架构减少了客户端软件的安装和更新需求,减轻了IT维护成本。SpringBoot框架通过减少配置和自动化部署,降低了开发和运营的时间成本。Vue.js提供了快速开发的能力,减少了前端开发的人员需求。MySQL作为开源数据库,不仅在授权成本上具有优势,而且通过其高效的查询与事务处理能力,可以在保证性能的同时降低硬件资源的投入,实现资源的高效利用。
3.2系统性能需求分析
1.可用性需求
系统必须具备高可用性,以确保其在各种使用场景下能够稳定运行。为满足可用性要求,系统应当具备自恢复能力和冗余机制,避免因单点故障而导致的服务中断。具体而言,系统的部署架构应支持负载均衡和集群配置,通过多个实例的协作提高整体系统的可用性。系统应提供详尽的监控与告警机制,能够实时追踪系统运行状态,及时发现潜在问题并触发自动恢复操作或通知管理员。在用户体验方面,系统需要提供清晰的错误提示信息,并能够在发生异常时通过回滚操作或其他容错机制,保证用户的操作不受到严重影响。
2.可靠性需求
可靠性要求系统在长时间运行中保持稳定,能够有效应对各种可能的故障和压力。系统设计应支持高可用的数据库架构,采用数据库主从复制、分片等技术以实现数据的可靠存储与访问。应用层应具备容错能力,在面对硬件故障、网络中断等意外情况时,能够保持系统的正常服务或在故障恢复后迅速恢复数据和业务流程。系统应具备日志记录功能,能够全面记录操作过程和异常信息,从而为问题追踪与系统优化提供数据支持。系统的可靠性还需要通过压力测试和稳定性测试来验证,确保在大规模用户访问及高并发场景下能够正常运行,不发生崩溃或数据丢失现象。
3.安全性需求
系统的安全性需求必须得到高度重视,确保系统和用户数据的保密性、完整性和可用性。为实现数据安全,系统应采用加密技术,特别是在用户认证、敏感数据传输和存储过程中,采用SSL/TLS协议进行加密通信,确保数据在传输过程中不被窃取或篡改。系统应支持用户身份验证与授权管理,采用如OAuth、JWT等安全机制防止未授权访问。访问控制应细化到资源级别,确保不同角色的用户只能访问其权限范围内的功能。为了防止恶意攻击,系统还应加强对常见攻击方式(如SQL注入、XSS攻击、CSRF攻击等)的防护,通过输入验证、输出转义、会话管理等技术措施提高系统的安全性。系统应定期进行安全审计与漏洞扫描,及时发现并修补可能的安全漏洞,保障系统的长期安全运营。
3.3功能需求分析
功能需求分析是对系统所需功能进行详细描述的过程,明确系统的目标、功能模块及其相互关系。在此阶段,结合用户需求、业务流程和技术架构,识别系统必须实现的各项功能,并对其优先级、实现方式和约束条件进行梳理。通过功能需求分析,确保系统设计能够满足实际需求,且具有良好的可用性、可维护性和扩展性,为后续的系统开发和测试提供明确的指导和依据。
3.3.1注册用户功能
注册用户有首页、在线考试、公告信息、考试资讯、课程信息、班级信息、我的账户、个人中心(个人首页、收藏)等需求用例。
注册用户用例图如图3-1所示。

图3-1 用户用例图
3.3.2教师用户功能
教师用户有后台首页、课程信息管理、班级信息管理、在线考试(科目列表、试题库、试卷列表)等需求用例。
教师用户用例图如图3-2所示。

图3-2 教师用户用例图
3.3.3管理员功能
管理员有后台首页、系统用户、课程信息管理、班级信息管理、系统管理、公告信息管理、资源管理、在线考试(科目列表、试题库、错题记录、试卷列表)等需求用例。
管理员用例图如图3-3所示。

图3-3管理员用例图
3.4系统总体流程设计
3.4.1数据开发流程
系统开发流程的主要步骤,从需求分析到系统完成的全过程。流程包括需求分析、总体设计(结构、功能、数据)、详细设计(模块、编码)、模块整合与调用,以及测试、扩展和完善,最终完成系统的开发。本系统的开发流程如图3-4所示

图3-4系统开发流程图
3.4.2用户登录流程
用户输入用户名和密码后,系统先检查输入是否为空,再验证用户名是否存在,若存在则通过用户名获取密码并校验。若密码正确则登录成功,否则提示密码错误。若用户名不存在或无法登录,提示用户操作无效。如图3-5所示。

图3-5登录流程图
3.4.3系统操作流程
用户首先进入系统登录界面,输入用户名和密码后,系统验证信息是否正确。若验证失败,返回登录界面重新输入;若验证成功,则进入功能界面,执行相应功能处理后结束操作流程。操作流程如图3-6所示。

图3-6系统操作流程图
3.4.4添加信息流程
管理员可以添加信息,用户添加可以自己权限内的信息,输入信息后,要想利用这个软件来进行系统的安全管理,首先需要登录到该软件中。添加信息流程如图3-7所示。

图3-7添加信息流程图
3.4.5修改信息流程
用户首先选择需要修改的记录,输入修改后的数据,系统判断输入数据是否合法。若数据不合法,提示重新输入;若数据合法,则将修改后的数据写入数据库,完成操作后流程结束。修改信息流程图如图3-8所示。

图3-8 修改信息流程图
3.4.6删除信息流程
用户选择需要删除的记录后,系统判断是否确认删除。若未确认,返回选择环节;若确认删除,则更新数据库,删除对应记录,完成操作后流程结束。删除信息流程图如图3-9所示。

图3-9删除信息流程图
4 系统设计
4.1系统架构设计
系统由表现层、业务逻辑层、数据访问层和数据库服务器组成。表现层通过浏览器(如IE、Chrome、Firefox)与用户交互,采用FreeMarker、Bootstrap、jQuery等技术实现界面呈现。业务逻辑层负责处理系统的核心业务逻辑,通过分模块设计实现功能分离。数据访问层使用MyBatis框架连接数据库,执行数据的增删改查操作。数据库服务器采用MySQL进行数据存储和管理,为系统提供稳定的数据库支持。整个架构通过Tomcat服务器完成用户请求的接收和处理,确保系统的高效运行[8]。整个系统架构如图4-1所示。

图4-1 系统架构图
4.2系统总体功能设计

图4-2 系统功能结构图
4.2.1注册时序图
用户通过注册模块发送注册请求,系统完成注册后返回确认信息。随后,用户通过登录模块发送登录请求,系统验证用户信息后允许访问目标系统。用户完成操作后可选择退出,系统终止会话。注册时序图,如图4-3所示。

图4-3 注册时序图
4.2.2登录时序图
管理员输入登录信息后,登录界面将信息传递至前台管理界面,随后通过SpringBoot框架读取数据库中的用户信息并返回。系统验证信息,若验证成功则登录成功,若验证失败则返回错误提示。登录时序图如图4-4所示。

图4-4登录时序图
4.2.3管理员修改用户信息时序图
管理员输入登录信息后,进入用户信息管理模块,选择增删改查操作并提交命令至数据库。数据库执行操作后返回成功状态,系统显示用户管理界面并提示操作成功。管理员修改用户信息时序图如图4-5所示。

图4-5管理员修改用户信息时序图
4.2.4管理员管理系统信息时序图
管理员通过访问系统发起请求,系统接收访问后转向系统信息模块进行管理操作。管理完成后,系统返回管理结果至系统,最终反馈给管理员,管理员可选择退出。管理员管理系统信息时序图如图4-6所示。

图4-6管理员管理系统信息时序图
4.3数据库设计
数据库设计是系统开发中至关重要的环节,为系统提供高效、规范的数据存储和管理方案。设计过程包括需求分析、实体设计、表设计和逻辑结构设计。首先,通过分析业务需求,确定系统的核心实体及其属性,同时明确实体间的关系。接着,将实体抽象为具体的数据库表,为每张表定义字段名、数据类型、主键和外键,通过主外键关系和关联表设计,保证数据的完整性和一致性。最后,数据库逻辑设计进一步优化表之间的关系,通过索引、视图和存储过程提升查询效率和操作性能。整个设计需严格遵循规范,避免数据冗余和冲突,确保系统在高并发访问和复杂数据处理场景下的稳定性和高效性。
4.3.1数据库实体设计
数据库实体设计是数据库设计的关键步骤,对实际业务逻辑中涉及的实体及其属性进行抽象建模,明确系统中的主要信息对象及其关系[9]。在实体设计中,根据需求分析确定系统的核心实体,如用户、角色、权限等,提取实体的主要属性,如用户的ID、姓名、联系方式,名称、类型等,同时定义各实体之间的关系,包括一对一、一对多、多对多等。在设计过程中,注重实体的完整性、规范性和唯一性,确保设计能够满足系统功能需求,并为后续的表设计提供清晰的结构框架。实体设计需遵循数据库设计的标准化要求,避免数据冗余和不必要的复杂度。
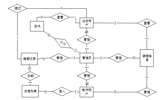
以下将展示系统的全局E-R图。
系统全局E-R图如图4-7所示。

图4-7系统E-R图
4.3.2数据库表设计
数据库表设计基于实体设计,将抽象的实体映射为具体的表结构。设计过程中,为每个实体定义表名、字段名及数据类型 [10]。根据业务需求,合理定义主键、外键及约束条件,确保表之间的关联性,例如通过外键建立用户表和角色表之间的关系。表设计时注重数据存储的完整性、一致性,并通过索引优化查询效率,最终确保数据库结构能够支持系统的功能需求。以下是系统的数据库表设计展示。
|
编号 |
字段名 |
类型 |
长度 |
是否非空 |
是否主键 |
注释 |
|
1 |
token_id |
int |
是 |
是 |
临时访问牌ID |
|
|
2 |
token |
varchar |
64 |
否 |
否 |
临时访问牌 |
|
3 |
info |
text |
65535 |
否 |
否 |
信息 |
|
4 |
maxage |
int |
是 |
否 |
最大寿命:默认2小时 |
|
|
5 |
create_time |
timestamp |
是 |
否 |
创建时间 |
|
|
6 |
update_time |
timestamp |
是 |
否 |
更新时间 |
|
|
7 |
user_id |
int |
是 |
否 |
用户编号 |
表 4-2-article(文章)
|
编号 |
字段名 |
类型 |
长度 |
是否非空 |
是否主键 |
注释 |
|
1 |
article_id |
mediumint |
是 |
是 |
文章id |
|
|
2 |
title |
varchar |
125 |
是 |
是 |
标题 |
|
3 |
type |
varchar |
64 |
是 |
否 |
文章分类 |
|
4 |
hits |
int |
是 |
否 |
点击数 |
|
|
5 |
praise_len |
int |
是 |
否 |
点赞数 |
|
|
6 |
create_time |
timestamp |
是 |
否 |
创建时间 |
|
|
7 |
update_time |
timestamp |
是 |
否 |
更新时间 |
|
|
8 |
source |
varchar |
255 |
否 |
否 |
来源 |
|
9 |
url |
varchar |
255 |
否 |
否 |
来源地址 |
|
10 |
tag |
varchar |
255 |
否 |
否 |
标签 |
|
11 |
content |
longtext |
4294967295 |
否 |
否 |
正文 |
|
12 |
img |
varchar |
255 |
否 |
否 |
封面图 |
|
13 |
description |
text |
65535 |
否 |
否 |
文章描述 |
表 4-3-article_type(文章分类)
|
编号 |
字段名 |
类型 |
长度 |
是否非空 |
是否主键 |
注释 |
|
1 |
type_id |
smallint |
是 |
是 |
分类ID |
|
|
2 |
display |
smallint |
是 |
否 |
显示顺序 |
|
|
3 |
name |
varchar |
16 |
是 |
否 |
分类名称 |
|
4 |
father_id |
smallint |
是 |
否 |
上级分类ID |
|
|
5 |
description |
varchar |
255 |
否 |
否 |
描述 |
|
6 |
icon |
text |
65535 |
否 |
否 |
分类图标 |
|
7 |
url |
varchar |
255 |
否 |
否 |
外链地址 |
|
8 |
create_time |
timestamp |
是 |
否 |
创建时间 |
|
|
9 |
update_time |
timestamp |
是 |
否 |
更新时间 |
表 4-4-auth(用户权限管理)
|
编号 |
字段名 |
类型 |
长度 |
是否非空 |
是否主键 |
注释 |
|
1 |
auth_id |
int |
是 |
是 |
授权ID |
|
|
2 |
user_group |
varchar |
64 |
否 |
否 |
用户组 |
|
3 |
mod_name |
varchar |
64 |
否 |
否 |
模块名 |
|
4 |
table_name |
varchar |
64 |
否 |
否 |
表名 |
|
5 |
page_title |
varchar |
255 |
否 |
否 |
页面标题 |
|
6 |
path |
varchar |
255 |
否 |
否 |
路由路径 |
|
7 |
parent |
varchar |
64 |
否 |
否 |
父级菜单 |
|
8 |
parent_sort |
int |
是 |
否 |
父级菜单排序 |
|
|
9 |
position |
varchar |
32 |
否 |
否 |
位置 |
|
10 |
mode |
varchar |
32 |
是 |
否 |
跳转方式 |
|
11 |
add |
tinyint |
是 |
否 |
是否可增加 |
|
|
12 |
del |
tinyint |
是 |
否 |
是否可删除 |
|
|
13 |
set |
tinyint |
是 |
否 |
是否可修改 |
|
|
14 |
get |
tinyint |
是 |
否 |
是否可查看 |
|
|
15 |
field_add |
text |
65535 |
否 |
否 |
添加字段 |
|
16 |
field_set |
text |
65535 |
否 |
否 |
修改字段 |
|
17 |
field_get |
text |
65535 |
否 |
否 |
查询字段 |
|
18 |
table_nav_name |
varchar |
500 |
否 |
否 |
跨表导航名称 |
|
19 |
table_nav |
varchar |
500 |
否 |
否 |
跨表导航 |
|
20 |
option |
text |
65535 |
否 |
否 |
配置 |
|
21 |
create_time |
timestamp |
是 |
否 |
创建时间 |
|
|
22 |
update_time |
timestamp |
是 |
否 |
更新时间 |
表 4-5-class_information(班级信息)
|
编号 |
字段名 |
类型 |
长度 |
是否非空 |
是否主键 |
注释 |
|
1 |
class_information_id |
int |
是 |
是 |
班级信息ID |
|
|
2 |
teacher_users |
int |
否 |
否 |
教师用户 |
|
|
3 |
teachers_name |
varchar |
64 |
否 |
否 |
教师姓名 |
|
4 |
class_name |
varchar |
64 |
否 |
否 |
班级名称 |
|
5 |
class_size |
double |
否 |
否 |
班级人数 |
|
|
6 |
student_list |
text |
65535 |
否 |
否 |
学生名单 |
|
7 |
course_teacher |
text |
65535 |
否 |
否 |
任课教师 |
|
8 |
class_information |
text |
65535 |
否 |
否 |
班级信息 |
|
9 |
class_details |
longtext |
4294967295 |
否 |
否 |
班级详情 |
|
10 |
hits |
int |
是 |
否 |
点击数 |
|
|
11 |
praise_len |
int |
是 |
否 |
点赞数 |
|
|
12 |
collect_len |
int |
是 |
否 |
收藏数 |
|
|
13 |
comment_len |
int |
是 |
否 |
评论数 |
|
|
14 |
create_time |
datetime |
是 |
否 |
创建时间 |
|
|
15 |
update_time |
timestamp |
是 |
否 |
更新时间 |
表 4-6-code_token(验证码)
|
编号 |
字段名 |
类型 |
长度 |
是否非空 |
是否主键 |
注释 |
|
1 |
code_token_id |
int |
是 |
是 |
验证码ID |
|
|
2 |
token |
varchar |
255 |
否 |
否 |
令牌 |
|
3 |
code |
varchar |
255 |
否 |
否 |
验证码 |
|
4 |
expire_time |
timestamp |
是 |
否 |
失效时间 |
|
|
5 |
create_time |
timestamp |
是 |
否 |
创建时间 |
|
|
6 |
update_time |
timestamp |
是 |
否 |
更新时间 |
表 4-7-collect(收藏)
|
编号 |
字段名 |
类型 |
长度 |
是否非空 |
是否主键 |
注释 |
|
1 |
collect_id |
int |
是 |
是 |
收藏ID |
|
|
2 |
user_id |
int |
是 |
是 |
收藏人ID |
|
|
3 |
source_table |
varchar |
255 |
否 |
否 |
来源表 |
|
4 |
source_field |
varchar |
255 |
否 |
否 |
来源字段 |
|
5 |
source_id |
int |
是 |
否 |
来源ID |
|
|
6 |
title |
varchar |
255 |
否 |
否 |
标题 |
|
7 |
img |
varchar |
255 |
否 |
否 |
封面 |
|
8 |
create_time |
timestamp |
是 |
否 |
创建时间 |
|
|
9 |
update_time |
timestamp |
是 |
否 |
更新时间 |
表 4-8-comment(评论)
|
编号 |
字段名 |
类型 |
长度 |
是否非空 |
是否主键 |
注释 |
|
1 |
comment_id |
int |
是 |
是 |
评论ID |
|
|
2 |
user_id |
int |
是 |
是 |
评论人ID |
|
|
3 |
reply_to_id |
int |
是 |
否 |
回复评论ID |
|
|
4 |
content |
longtext |
4294967295 |
否 |
否 |
内容 |
|
5 |
nickname |
varchar |
255 |
否 |
否 |
昵称 |
|
6 |
avatar |
varchar |
255 |
否 |
否 |
头像地址 |
|
7 |
create_time |
timestamp |
是 |
否 |
创建时间 |
|
|
8 |
update_time |
timestamp |
是 |
否 |
更新时间 |
|
|
9 |
source_table |
varchar |
255 |
否 |
否 |
来源表 |
|
10 |
source_field |
varchar |
255 |
否 |
否 |
来源字段 |
|
11 |
source_id |
int |
是 |
否 |
来源ID |
表 4-9-course_information(课程信息)
|
编号 |
字段名 |
类型 |
长度 |
是否非空 |
是否主键 |
注释 |
|
1 |
course_information_id |
int |
是 |
是 |
课程信息ID |
|
|
2 |
teacher_users |
int |
否 |
否 |
教师用户 |
|
|
3 |
teachers_name |
varchar |
64 |
否 |
否 |
教师姓名 |
|
4 |
course_name |
varchar |
64 |
否 |
否 |
课程名称 |
|
5 |
course_type |
varchar |
64 |
否 |
否 |
课程类型 |
|
6 |
course_hours |
varchar |
64 |
否 |
否 |
课程课时 |
|
7 |
course_cover |
varchar |
255 |
否 |
否 |
课程封面 |
|
8 |
course_introduction |
text |
65535 |
否 |
否 |
课程介绍 |
|
9 |
course_content |
text |
65535 |
否 |
否 |
课程内容 |
|
10 |
teacher_information |
text |
65535 |
否 |
否 |
教师信息 |
|
11 |
course_details |
longtext |
4294967295 |
否 |
否 |
课程详情 |
|
12 |
hits |
int |
是 |
否 |
点击数 |
|
|
13 |
praise_len |
int |
是 |
否 |
点赞数 |
|
|
14 |
collect_len |
int |
是 |
否 |
收藏数 |
|
|
15 |
comment_len |
int |
是 |
否 |
评论数 |
|
|
16 |
create_time |
datetime |
是 |
否 |
创建时间 |
|
|
17 |
update_time |
timestamp |
是 |
否 |
更新时间 |
表 4-10-exam_question_database(试题库)
|
编号 |
字段名 |
类型 |
长度 |
是否非空 |
是否主键 |
注释 |
|
1 |
exam_question_id |
mediumint |
是 |
是 |
试题库ID |
|
|
2 |
subject_name |
varchar |
255 |
否 |
否 |
科目名称 |
|
3 |
type |
varchar |
20 |
否 |
否 |
类型 |
|
4 |
title |
varchar |
255 |
否 |
否 |
题目 |
|
5 |
question_item |
varchar |
500 |
否 |
否 |
选项 |
|
6 |
answer |
varchar |
500 |
否 |
否 |
参考答案 |
|
7 |
score |
double |
否 |
否 |
总分 |
|
|
8 |
create_time |
timestamp |
是 |
否 |
创建时间 |
|
|
9 |
update_time |
timestamp |
是 |
否 |
更新时间 |
表 4-11-hits(用户点击)
|
编号 |
字段名 |
类型 |
长度 |
是否非空 |
是否主键 |
注释 |
|
1 |
hits_id |
int |
是 |
是 |
点赞ID |
|
|
2 |
user_id |
int |
是 |
否 |
点赞人 |
|
|
3 |
create_time |
timestamp |
是 |
否 |
创建时间 |
|
|
4 |
update_time |
timestamp |
是 |
否 |
更新时间 |
|
|
5 |
source_table |
varchar |
255 |
否 |
否 |
来源表 |
|
6 |
source_field |
varchar |
255 |
否 |
否 |
来源字段 |
|
7 |
source_id |
int |
是 |
否 |
来源ID |
表 4-12-notice(公告)
|
编号 |
字段名 |
类型 |
长度 |
是否非空 |
是否主键 |
注释 |
|
1 |
notice_id |
mediumint |
是 |
是 |
公告ID |
|
|
2 |
title |
varchar |
125 |
是 |
否 |
标题 |
|
3 |
content |
longtext |
4294967295 |
否 |
否 |
正文 |
|
4 |
create_time |
timestamp |
是 |
否 |
创建时间 |
|
|
5 |
update_time |
timestamp |
是 |
否 |
更新时间 |
表 4-13-praise(点赞)
|
编号 |
字段名 |
类型 |
长度 |
是否非空 |
是否主键 |
注释 |
|
1 |
praise_id |
int |
是 |
是 |
点赞ID |
|
|
2 |
user_id |
int |
是 |
是 |
点赞人 |
|
|
3 |
create_time |
timestamp |
是 |
否 |
创建时间 |
|
|
4 |
update_time |
timestamp |
是 |
否 |
更新时间 |
|
|
5 |
source_table |
varchar |
255 |
否 |
否 |
来源表 |
|
6 |
source_field |
varchar |
255 |
否 |
否 |
来源字段 |
|
7 |
source_id |
int |
是 |
否 |
来源ID |
|
|
8 |
status |
tinyint |
是 |
否 |
点赞状态:1为点赞,0已取消 |
表 4-14-registered_user(注册用户)
|
编号 |
字段名 |
类型 |
长度 |
是否非空 |
是否主键 |
注释 |
|
1 |
registered_user_id |
int |
是 |
是 |
注册用户ID |
|
|
2 |
user_name |
varchar |
64 |
否 |
否 |
用户姓名 |
|
3 |
user_gender |
varchar |
64 |
否 |
否 |
用户性别 |
|
4 |
examine_state |
varchar |
16 |
是 |
否 |
审核状态 |
|
5 |
user_id |
int |
是 |
否 |
用户ID |
|
|
6 |
create_time |
datetime |
是 |
否 |
创建时间 |
|
|
7 |
update_time |
timestamp |
是 |
否 |
更新时间 |
表 4-15-schedule(日程管理)
|
编号 |
字段名 |
类型 |
长度 |
是否非空 |
是否主键 |
注释 |
|
1 |
schedule_id |
smallint |
是 |
是 |
日程ID |
|
|
2 |
content |
varchar |
255 |
否 |
否 |
日程内容 |
|
3 |
scheduled_time |
datetime |
否 |
否 |
计划时间 |
|
|
4 |
user_id |
int |
是 |
否 |
用户ID |
|
|
5 |
create_time |
datetime |
否 |
否 |
创建时间 |
|
|
6 |
update_time |
datetime |
否 |
否 |
更新时间 |
表 4-16-score(评分)
|
编号 |
字段名 |
类型 |
长度 |
是否非空 |
是否主键 |
注释 |
|
1 |
score_id |
int |
是 |
是 |
评分ID |
|
|
2 |
user_id |
int |
是 |
否 |
评分人 |
|
|
3 |
nickname |
varchar |
64 |
否 |
否 |
昵称 |
|
4 |
score_num |
double |
是 |
否 |
评分 |
|
|
5 |
create_time |
timestamp |
是 |
否 |
创建时间 |
|
|
6 |
update_time |
timestamp |
是 |
否 |
更新时间 |
|
|
7 |
source_table |
varchar |
255 |
否 |
否 |
来源表 |
|
8 |
source_field |
varchar |
255 |
否 |
否 |
来源字段 |
|
9 |
source_id |
int |
是 |
否 |
来源ID |
表 4-17-slides(轮播图)
|
编号 |
字段名 |
类型 |
长度 |
是否非空 |
是否主键 |
注释 |
|
1 |
slides_id |
int |
是 |
是 |
轮播图ID |
|
|
2 |
title |
varchar |
64 |
否 |
否 |
标题 |
|
3 |
content |
varchar |
255 |
否 |
否 |
内容 |
|
4 |
url |
varchar |
255 |
否 |
否 |
链接 |
|
5 |
img |
varchar |
255 |
否 |
否 |
轮播图 |
|
6 |
hits |
int |
是 |
否 |
点击量 |
|
|
7 |
create_time |
timestamp |
是 |
否 |
创建时间 |
|
|
8 |
update_time |
timestamp |
是 |
否 |
更新时间 |
表 4-18-subject(科目)
|
编号 |
字段名 |
类型 |
长度 |
是否非空 |
是否主键 |
注释 |
|
1 |
subject_id |
int |
是 |
是 |
科目ID |
|
|
2 |
name |
varchar |
255 |
否 |
否 |
科目名称 |
|
3 |
update_time |
timestamp |
是 |
否 |
更新时间 |
|
|
4 |
create_time |
timestamp |
是 |
否 |
创建时间 |
表 4-19-subject_exam(考试)
|
编号 |
字段名 |
类型 |
长度 |
是否非空 |
是否主键 |
注释 |
|
1 |
exam_id |
mediumint |
是 |
是 |
考试id |
|
|
2 |
subject_name |
varchar |
255 |
否 |
否 |
|
|
3 |
name |
varchar |
32 |
是 |
否 |
考试名称:[2,32] |
|
4 |
duration |
int |
否 |
否 |
答题时长 |
|
|
5 |
score |
double |
否 |
否 |
总分 |
|
|
6 |
status |
varchar |
10 |
否 |
否 |
状态:启用、禁用 |
|
7 |
create_time |
timestamp |
是 |
否 |
创建时间: |
|
|
8 |
update_time |
timestamp |
是 |
否 |
更新时间: |
|
|
9 |
user_id |
int |
否 |
否 |
出题人 |
表 4-20-subject_exam_question(试题)
|
编号 |
字段名 |
类型 |
长度 |
是否非空 |
是否主键 |
注释 |
|
1 |
exam_question_id |
mediumint |
是 |
是 |
试题ID |
|
|
2 |
subject_name |
varchar |
255 |
否 |
否 |
科目名称 |
|
3 |
type |
varchar |
20 |
否 |
否 |
类型 |
|
4 |
title |
varchar |
255 |
否 |
否 |
题目 |
|
5 |
question_item |
varchar |
500 |
否 |
否 |
选项 |
|
6 |
answer |
varchar |
500 |
否 |
否 |
参考答案 |
|
7 |
score |
double |
否 |
否 |
总分 |
|
|
8 |
question_order |
int |
否 |
否 |
排序 |
|
|
9 |
exam_id |
mediumint |
是 |
是 |
所属试卷 |
|
|
10 |
create_time |
timestamp |
是 |
否 |
创建时间 |
|
|
11 |
update_time |
timestamp |
是 |
否 |
更新时间 |
表 4-21-subject_user_answer(用户答题)
|
编号 |
字段名 |
类型 |
长度 |
是否非空 |
是否主键 |
注释 |
|
1 |
user_answer_id |
mediumint |
是 |
是 |
用户答题ID |
|
|
2 |
user_id |
mediumint |
是 |
否 |
用户ID |
|
|
3 |
exam_id |
mediumint |
是 |
否 |
考试id |
|
|
4 |
score |
double |
否 |
否 |
分数 |
|
|
5 |
answers |
text |
65535 |
否 |
否 |
答案 |
|
6 |
score_detail |
text |
65535 |
否 |
否 |
评分详情 |
|
7 |
objective_score |
double |
否 |
否 |
客观题得分 |
|
|
8 |
subjective_score |
double |
否 |
否 |
主观题得分 |
|
|
9 |
score_state |
tinyint |
否 |
否 |
评分状态 |
|
|
10 |
nickname |
varchar |
255 |
否 |
否 |
提交人 |
|
11 |
create_time |
timestamp |
是 |
否 |
创建时间 |
|
|
12 |
update_time |
timestamp |
是 |
否 |
更新时间 |
|
|
13 |
comment_desc |
varchar |
255 |
否 |
否 |
评语 |
表 4-22-teacher_users(教师用户)
|
编号 |
字段名 |
类型 |
长度 |
是否非空 |
是否主键 |
注释 |
|
1 |
teacher_users_id |
int |
是 |
是 |
教师用户ID |
|
|
2 |
teacher_no |
varchar |
64 |
是 |
是 |
教师工号 |
|
3 |
teachers_name |
varchar |
64 |
否 |
否 |
教师姓名 |
|
4 |
examine_state |
varchar |
16 |
是 |
否 |
审核状态 |
|
5 |
user_id |
int |
是 |
否 |
用户ID |
|
|
6 |
create_time |
datetime |
是 |
否 |
创建时间 |
|
|
7 |
update_time |
timestamp |
是 |
否 |
更新时间 |
表 4-23-upload(文件上传)
|
编号 |
字段名 |
类型 |
长度 |
是否非空 |
是否主键 |
注释 |
|
1 |
upload_id |
int |
是 |
是 |
上传ID |
|
|
2 |
name |
varchar |
64 |
否 |
否 |
文件名 |
|
3 |
path |
varchar |
255 |
否 |
否 |
访问路径 |
|
4 |
file |
varchar |
255 |
否 |
否 |
文件路径 |
|
5 |
display |
varchar |
255 |
否 |
否 |
显示顺序 |
|
6 |
father_id |
int |
否 |
否 |
父级ID |
|
|
7 |
dir |
varchar |
255 |
否 |
否 |
文件夹 |
|
8 |
type |
varchar |
32 |
否 |
否 |
文件类型 |
表 4-24-user(用户账户)
|
编号 |
字段名 |
类型 |
长度 |
是否非空 |
是否主键 |
注释 |
|
1 |
user_id |
int |
是 |
是 |
用户ID |
|
|
2 |
state |
smallint |
是 |
否 |
账户状态:(1可用|2异常|3已冻结|4已注销) |
|
|
3 |
user_group |
varchar |
32 |
否 |
否 |
所在用户组 |
|
4 |
login_time |
timestamp |
是 |
否 |
上次登录时间 |
|
|
5 |
phone |
varchar |
11 |
否 |
否 |
手机号码 |
|
6 |
phone_state |
smallint |
是 |
否 |
手机认证:(0未认证|1审核中|2已认证) |
|
|
7 |
username |
varchar |
16 |
是 |
否 |
用户名 |
|
8 |
nickname |
varchar |
16 |
否 |
否 |
昵称 |
|
9 |
password |
varchar |
64 |
是 |
否 |
密码 |
|
10 |
|
varchar |
64 |
否 |
否 |
邮箱 |
|
11 |
email_state |
smallint |
是 |
否 |
邮箱认证:(0未认证|1审核中|2已认证) |
|
|
12 |
avatar |
varchar |
255 |
否 |
否 |
头像地址 |
|
13 |
open_id |
varchar |
255 |
否 |
否 |
针对获取用户信息字段 |
|
14 |
create_time |
timestamp |
是 |
否 |
创建时间 |
表 4-25-user_answer_wrong(用户错题)
|
编号 |
字段名 |
类型 |
长度 |
是否非空 |
是否主键 |
注释 |
|
1 |
user_answer_id |
mediumint |
是 |
是 |
用户错题ID |
|
|
2 |
subject_name |
varchar |
255 |
否 |
否 |
科目名称 |
|
3 |
question_item |
varchar |
255 |
否 |
否 |
选项 |
|
4 |
title |
varchar |
255 |
否 |
否 |
题目 |
|
5 |
type |
varchar |
255 |
否 |
否 |
题目类型 |
|
6 |
exam_id |
mediumint |
是 |
是 |
考试ID |
|
|
7 |
score |
double |
否 |
否 |
分数 |
|
|
8 |
answers |
text |
65535 |
否 |
否 |
用户提交的答案 |
|
9 |
answer |
text |
65535 |
否 |
否 |
参考答案 |
|
10 |
score_detail |
text |
65535 |
否 |
否 |
评分详情 |
|
11 |
objective_score |
double |
否 |
否 |
客观题得分 |
|
|
12 |
subjective_score |
double |
否 |
否 |
主观题得分 |
|
|
13 |
score_state |
tinyint |
否 |
否 |
评分状态 |
|
|
14 |
nickname |
varchar |
255 |
否 |
否 |
提交人 |
|
15 |
user_id |
int |
是 |
否 |
提交人ID |
|
|
16 |
create_time |
timestamp |
是 |
否 |
创建时间 |
|
|
17 |
update_time |
timestamp |
是 |
否 |
更新时间 |
表 4-26-user_group(用户组)
|
编号 |
字段名 |
类型 |
长度 |
是否非空 |
是否主键 |
注释 |
|
1 |
group_id |
mediumint |
是 |
是 |
用户组ID |
|
|
2 |
display |
smallint |
是 |
否 |
显示顺序 |
|
|
3 |
name |
varchar |
16 |
是 |
否 |
名称 |
|
4 |
description |
varchar |
255 |
否 |
否 |
描述 |
|
5 |
source_table |
varchar |
255 |
否 |
否 |
来源表 |
|
6 |
source_field |
varchar |
255 |
否 |
否 |
来源字段 |
|
7 |
source_id |
int |
是 |
否 |
来源ID |
|
|
8 |
register |
smallint |
否 |
否 |
注册位置 |
|
|
9 |
create_time |
timestamp |
是 |
否 |
创建时间 |
|
|
10 |
update_time |
timestamp |
是 |
否 |
更新时间 |
5 系统实现
5.1注册用户功能实现
5.1.1在线考试
用户进入在线考试页面,浏览科目名称、答题时长、总分等基本信息。通过搜索栏输入关键词或筛选条件,快速定位考试界面。点击答题,进行在线考试。在线考试界面如图5-1所示。

图5-1在线考试界面
5.1.2课程信息
用户进入课程信息页面,浏览课程的图片、名称、描述等基本信息。通过搜索栏输入关键词或筛选条件,快速定位课程信息。点击课程信息,查看完整信息,包括课程名称和课程类型。课程信息界面如图5-2所示。

图5-2课程信息界面
5.1.3班级信息
用户进入班级信息页面,浏览班级的图片、名称、描述等基本信息。通过搜索栏输入关键词或筛选条件,快速定位班级。点击班级息,查看完整信息,包括班级名称和班级人数。班级信息界面如图5-3所示。

图5-3班级信息界面
5.1.4考试资讯
用户在资讯页面浏览考试资讯信息。通过分类标签筛选资讯类型,点击标题查看详细文章,页面提供评论区供用户交流心得。考试资讯界面如图5-4所示。

图5-4宠考试资讯界面
5.2教师用户功能实现
5.2.1课程信息管理
教师用户登录后,进入“课程信息管理”模块。在列表中,可以查看所有课程信息和相关评论,点击任意条目进入编辑页面。教师用户可添加课程信息、修改课程信息或删除不再适用的条目。更改完成后,需点击“保存”按钮,确认修改。课程信息管理界面如图5-5所示。

图5-5课程信息管理界面
5.2.2班级信息管理
教师用户登录后,进入“班级信息管理”模块。在列表中,可以查看所有班级信息和相关评论,点击任意条目进入编辑页面。教师用户可添加班级信息、修改班级信息或删除不再适用的条目。更改完成后,需点击“保存”按钮,确认修改。班级信息管理界面如图5-6所示。

图5-6班级信息管理界面
5.2.3科目列表
教师用户登录后,进入“科目列表”模块。可以查看添加、删除、重置、查询科目列表。科目列表界面如图5-7所示。

图5-7科目列表界面
5.3管理员功能实现
5.3.1系统用户
在“系统用户”模块下,管理员可以管理系统上的三类用户:管理员、注册用户和教师用户。管理员可以进行用户的增、删、改、查操作,包括设置权限、修改用户信息等。系统用户界面如图5-8所示。

图5-8系统用户界面
5.3.2课程信息管理
管理员点击“课程信息管理”这一菜单会显示课程信息列表和课程信息添加两个子菜单,点击“课程信息列表”可以查看课程信息详情和用户评论,可以进行查询、重置、删除等操作。点击“课程信息添加”,管理员可以添加新的课程信息。课程信息管理界面如图5-9所示。

图5-9课程信息管理界面
5.3.3系统管理
管理员点击“系统管理-轮播图管理”菜单,可以对前台展示的轮播图进行设置,系统管理界面如图5-10所示。

图5-10系统管理界面
5.3.4公告消息管理
管理员点击“公告消息管理”这个菜单,可以对系统中的通知公告进行管理,包括通知公告的增删改查等操作。公告消息管理界面如图5-11所示。

图5-11公告消息管理界面
5.3.5资讯管理
管理员在资讯管理页面查看所有考试资讯文章,支持新增、编辑和删除操作。点击“新增”填写标题、内容并上传图片,选择分类后发布。可批量删除过期文章。资讯管理界面如图5-12所示。

图5-12资讯管理界面
6 系统测试
6.1测试环境
系统的测试环境如表6-1所示。
表6-1 测试环境
|
类别 |
配置项 |
详细信息 |
|
硬件环境 |
服务器CPU |
Intel Xeon E5-2680 v4 |
|
内存 |
32GB DDR4 |
|
|
硬盘 |
1TB SSD |
|
|
网络带宽 |
100Mbps |
|
|
软件环境 |
操作系统 |
Windows Server 2019 |
|
数据库 |
MySQL 8.0 |
|
|
Web服务器 |
Tomcat 9.0 |
|
|
开发框架 |
SpringBoot 2.5 |
|
|
前端框架 |
Vue.js 2.6 |
|
|
Java版本 |
JDK 11 |
|
|
浏览器 |
Chrome 88, Firefox 85 |
6.2测试目的
系统测试的主要目的是确保系统的功能、性能和稳定性满足需求规格说明书中的要求,并验证系统在实际使用环境中的可用性和可靠性。通过测试,可以发现软件中的缺陷、漏洞和潜在问题,确保系统运行的准确性、完整性和安全性。在功能测试中,目的是验证系统各功能模块是否按设计实现预期功能,例如用户登录、信息管理、数据查询等核心功能是否准确执行。性能测试的目的是验证系统在高并发、数据量大等压力场景下的响应时间和处理能力,确保系统具备良好的性能。兼容性测试的目的是确保系统在不同的硬件、软件和浏览器环境中能正常运行。测试还包括对异常处理和边界条件的验证,确保系统在异常场景下能够正确处理和恢复。最终,通过测试确保系统可以安全稳定地部署上线,为用户提供可靠的服务。
6.3测试方法
系统测试采用多种测试方法,以全面验证系统的功能和性能。功能测试采用黑盒测试方法,通过设计测试用例直接验证系统功能是否符合需求,无需了解内部代码逻辑。例如,设计用例验证用户登录模块,通过输入合法和非法的用户名与密码,检查系统响应是否符合预期。性能测试采用压力测试和负载测试方法,通过模拟高并发用户访问、数据处理的场景,评估系统的响应时间、吞吐量和稳定性。兼容性测试通过在不同操作系统、浏览器和硬件设备上运行系统,验证其在不同环境中的适应性[11]。异常测试通过设计边界条件和异常输入,检查系统对非法数据和操作的处理能力。测试用例的设计需覆盖系统的所有功能模块和接口,确保测试过程的全面性。通过系统测试方法的综合应用,可以有效发现问题,并为系统的优化和改进提供依据。
6.4测试内容
系统的测试用例表格如下图所示。
表6-2 系统测试用例表
|
测试项 |
测试用例 |
问题 |
结论 |
|
登录功能测试 |
打开登录页面 输入正确的用户名和密码 点击“登录”按钮 |
无 |
符合预期 |
|
登录功能测试 |
打开登录页面 输入错误的用户名 输入正确的密码 点击“登录”按钮 |
无 |
符合预期 |
|
登录功能测试 |
打开登录页面 输入正确的用户名 输入错误的密码 点击“登录”按钮 |
无 |
符合预期 |
|
登录功能测试 |
打开登录页面 输入不存在的用户名和密码 点击“登录”按钮 |
无 |
符合预期 |
|
注册功能测试 |
打开注册页面 输入合法的用户名、密码、邮箱等信息 点击“注册”按钮 |
无 |
符合预期 |
|
注册功能测试 |
打开注册页面 输入已存在的用户名 输入其他合法信息 点击“注册”按钮 |
无 |
符合预期 |
|
注册功能测试 |
打开注册页面 输入合法用户名但密码不符合要求(如长度不足) 点击“注册”按钮 |
无 |
符合预期 |
|
注册功能测试 |
打开注册页面 输入合法用户名和密码但邮箱格式错误 点击“注册”按钮 |
无 |
符合预期 |
|
查看课程信息测试 |
登录系统 进入课程信息页面 浏览课程信息图片、名称等信息 |
无 |
符合预期 |
|
查看课程信息测试 |
登录系统 进入课程信息页面 使用搜索栏输入关键词搜索课程信息 |
无 |
符合预期 |
|
查看课程信息测试 |
登录系统 进入课程信息页面 点击课程信息详情查看完整信息 |
无 |
符合预期 |
|
查看课程信息测试 |
登录系统 进入课程信息页面 不输入任何搜索条件直接点击搜索 |
无 |
符合预期 |
|
班级信息测试 |
登录系统 进入班级信息页面 浏览班级信息图片、名称等信息 |
无 |
符合预期 |
|
班级信息测试 |
登录系统 进入班级信息页面 使用搜索栏输入关键词搜索课程信息 |
无 |
符合预期 |
|
班级信息测试 |
登录系统 进入班级信息页面 点击班级信息详情查看完整信息 |
无 |
符合预期 |
|
班级信息测试 |
登录系统 进入班级信息页面 不输入任何搜索条件直接点击搜索 |
无 |
符合预期 |
6.5测试结论
经过对系统登录、注册、查看课程信息和班级信息功能的测试,所有测试用例均按照既定步骤执行完毕。测试结果显示,各功能模块在正常输入和异常输入条件下均表现出预期的行为。登录功能能够准确识别用户名和密码的正确性,并对错误输入给予相应提示。注册功能对用户输入的合法性进行了有效校验,确保了注册信息的规范性。查看课程信息功能能够正常展示课程的基本信息,并支持搜索和详情查看操作。另外查看班级信息功能能够正常展示班级的基本信息,并支持搜索和详情查看操作。整体而言,测试过程中未发现功能缺陷,系统运行稳定,各项功能均符合设计预期。
经过系统全面的功能测试、性能测试和可靠性测试,本系统在测试环境下运行良好,功能模块均按照设计要求实现,核心功能表现稳定,未发现严重功能缺陷或阻塞性问题。所有关键测试用例均通过,覆盖率达到预期目标,验证了系统的功能性、稳定性和兼容性。
7 总结
本研究围绕基于SpringBoot的在线考试系统展开,从需求分析到系统实现与测试,全面完成了系统开发。在需求分析阶段,通过可行性分析明确了系统的技术、操作和经济可行性,并详细梳理了用户与管理员的功能需求。系统总体流程设计涵盖了数据开发、用户登录、系统操作以及信息的增删改查流程,为后续设计与实现奠定了基础。系统设计部分,采用B/S架构结合SpringBoot框架、Vue技术和MySQL数据库构建系统架构,详细设计了注册、登录、信息管理等核心功能的时序图,并完成了数据库的实体与表设计。系统实现阶段,注册用户功能包括查看在线考试、公告信息、考试资讯、课程信息、班级信息等。教师用户功能包括查看课程信息管理、班级信息管理、在线考试(科目列表、试题库、试卷列表)等。管理员功能涵盖系统用户、课程信息管理、班级信息管理、系统管理、公告信息管理、资源管理等。各功能模块均通过界面交互实现,操作流程清晰。系统测试阶段,通过测试环境搭建、测试方法选择以及对登录、注册、查看课程信息等功能的测试,验证了系统的稳定性和可靠性,测试结论表明系统功能符合设计预期。
参考文献
- 刘江涛,王亮亮,吴庆茹,等.基于B/S模式的铁路勘测设计案例信息化管理系统设计与实现[J].铁路计算机应用,2021,30(03):32-35.
- 张丹丹,李弘.基于B/S架构的办公管理系统设计与开发[J].铁路通信信号工程技术,2024,21(09):44-48+106.
- 王志亮,纪松波.基于SpringBoot的Web前端与数据库的接口设计[J].工业控制计算机,2023,36(03):51-53.
- 熊永平.基于SpringBoot框架应用开发技术的分析与研究[J].电脑知识与技术,2021,15(36):76-77.
- 赵媛.基于Vue的Web系统前端性能优化分析[J].电脑编程技巧与维护,2024,(09):44-46.
- 秦冬.浅析Vue框架在前端开发中的应用[J].信息与电脑(理论版),2024,36(13):61-63.
- 李艳杰.MySQL数据库下存储过程的综合运用研究[J].现代信息科技,2023,7(11):80-82+88.
- 陈倩怡,何军.Vue+Springboot+MyBatis技术应用解析[J].电脑编程技巧与维护,2020,(01):14-15+28.
- 周晓玉,崔文超.基于Web技术的数据库应用系统设计[J].信息与电脑(理论版),2023,35(09):189-191.
- 马艳艳,吴晓光.计算机软件与数据库的设计策略分析[J].电子技术,2024,53(05):104-105.
- 李俊萌.计算机软件测试技术与开发应用策略分析[J].信息记录材料,2023,24(03):50-52.
- 杨硕,史亚平.基于Python+Flask的在线考试系统设计与实现[J].电脑知识与技术,2025,21(02):47-49+56.DOI:10.14004/j.cnki.ckt.2025.0046.
- 聂小雪.CIPP模式下的在线英语考试系统研究[J].通讯世界,2024,31(12):64-66.
- 王彬宇.精准教育理念下智能在线考试系统中的数据分析与反馈机制[J].中国多媒体与网络教学学报(中旬刊),2024,(12):42-45.
- 兰琳琳.基于MySQL-Django-Vue的在线考试系统[J].电脑知识与技术,2024,20(33):51-54.DOI:10.14004/j.cnki.ckt.2024.1702.
- 吴晓云,袁昊东.基于Spring Boot的在线考试管理系统[J].微型电脑应用,2024,40(11):199-204.
- 段瑞,李方一.Java项目任务教学研究与设计[C]//河南省民办教育协会.2024年高等教育发展论坛论文集(上册).绵阳城市学院;,2024:2.DOI:10.26914/c.cnkihy.2024.009751.
- Wai H K ,Funabiki N,Aung T S, et al.Answer Code Validation Program with Test Data Generation for Code Writing Problem in Java Programming Learning Assistant System[J].Engineering Letters,2024,32(5):
- [8]Ullenboom C .Java Programming Exercises:Volume Two: Java Standard Library[M].CRC Press:2024-03-30.
- Zhou R ,Luo K ,Chen X , et al.Research on the Construction of Computer Courses Based on CBE-CDIO Engineering Education Concept: Taking the Course “JAVA Programming” as an Example[J].Contemporary Education Frontiers,2023,1(2):
- Jing Y ,Funabiki* N,Th S, et al.A Proposal of Hint Function for Java Programming Learning Assistant System[J].International Journal of Information and Education Technology,2023,13(11):
- Davi V .Designing Hexagonal Architecture with Java:Build maintainable and long-lasting applications with Java and Quarkus[M].Packt Publishing Limited:2023-09-29.DOI:10.0000/9781837630714.
致谢
本论文的完成离不开众多导师、同学以及亲友的支持与帮助。在此,首先向我的导师表示最诚挚的感谢。在整个研究和写作过程中,导师以严谨治学的态度和丰富的专业知识给予了我无私的指导,从论文选题到最终定稿的每一个环节,都为我提供了宝贵的建议与意见,使我得以不断完善研究内容、拓展学术视野。导师耐心细致的指导不仅帮助我解决了许多学术难题,也让我在研究能力与学术写作方面得到了显著的提升。导师的鼓励与支持是我完成这篇论文的重要动力,也让我深刻体会到学术研究的严谨性与意义。
我还要感谢在学习生活中给予我帮助和支持的同学、朋友以及家人。论文撰写过程中,许多同学与我共同探讨问题,分享经验与资料,使我的研究更加全面深入。朋友们的关心和陪伴让我在繁忙的研究过程中能够调节心情,保持良好的状态。特别感谢我的家人,他们始终给予我无条件的理解和支持,为我创造了安心学习与研究的环境。正是因为有了大家的帮助和支持,我才能克服论文写作中的重重困难并顺利完成。再次向所有支持和帮助过我的人表达衷心的感谢。
免费领取项目源码,请关注❤点赞收藏并私信博主,谢谢-
更多推荐



所有评论(0)