【直接可用源码免费送】计算机毕业设计精选项目:54179+ springboot高校自习室预约系统 Java/PHP/Python/C#小程序、单片机、成品+文档源码支持定制
该系统采用Spring Boot框架结合Java语言进行后端开发,利用Vue.js技术构建前端界面,以MySQL数据库作为数据存储核心,并运用RESTful API实现前后端分离的架构。系统主要面向普通用户和管理员不同角色,实现了包括自习室信息管理、座位预约管理、取消预约管理、学习计划管理、学习提醒管理、学习进度管理、每日签到管理、兑换奖励管理、兑换信息管理、黑名单信息管理以及数据统计等核心功能,
随着高校教育的不断发展,学生自主学习需求日益增加,自习室作为学习的重要场所,成为高效学习的关键。然而,许多高校在自习室资源管理上存在诸多问题,如预约不便、资源浪费等。因此,本研究引入信息化技术设计并实现一套高效简便且功能齐全的高校自习室预约系统,以提升高校自习室管理效率和用户体验。该系统采用Spring Boot框架结合Java语言进行后端开发,利用Vue.js技术构建前端界面,以MySQL数据库作为数据存储核心,并运用RESTful API实现前后端分离的架构。系统主要面向普通用户和管理员不同角色,实现了包括自习室信息管理、座位预约管理、取消预约管理、学习计划管理、学习提醒管理、学习进度管理、每日签到管理、兑换奖励管理、兑换信息管理、黑名单信息管理以及数据统计等核心功能,基本满足整个自习室预约、取消、积分获取及兑换等业务流程,有效提升管理效率和服务质量。最终经过功能验证和性能测试,确保系统在实际应用中的可行性和高效性。本系统的实施不仅提高了学生的预约自习室的便利性和学习效率,也为高校自习室管理提供了有效的数据支持和管理工具,显著改善了自习室资源的利用率,推动了高校自习室管理与服务的信息化发展。同时可以为今后类似高校管理系统的开发提供了宝贵参考,具有良好的实践意义和推广价值。
关键词:高校自习室预约系统;Spring Boot;Vue.js;自习室管理
With the continuous development of higher education, the demand for self-directed learning among students is increasing. As an important place for learning, self-study rooms have become the key to efficient learning. However, many universities have many problems in the management of self-study room resources, such as inconvenient appointments and waste of resources. Therefore, this study introduces information technology to design and implement an efficient, simple, and fully functional university self-study room reservation system, in order to improve the management efficiency and user experience of university self-study rooms. The system adopts the Spring Boot framework combined with Java language for backend development, uses Vue.js technology to build the front-end interface, uses MySQL database as the data storage core, and implements a front-end and back-end separation architecture using RESTful API. The system mainly targets different roles of ordinary users and administrators, and implements core functions including self-study room information management, seat reservation management, cancellation reservation management, learning plan management, learning reminder management, learning progress management, daily check-in management, reward redemption management, redemption information management, blacklist information management, and data statistics. It basically meets the entire business process of self-study room reservation, cancellation, point acquisition, and redemption, effectively improving management efficiency and service quality. After functional verification and performance testing, the feasibility and efficiency of the system in practical applications are ensured. The implementation of this system not only improves the convenience and learning efficiency of students' appointment for self-study rooms, but also provides effective data support and management tools for the management of self-study rooms in universities, significantly improving the utilization of self-study room resources and promoting the information development of self-study room management and services in universities. At the same time, it can provide valuable reference for the development of similar university management systems in the future, with good practical significance and promotion value.
Key words:University self-study room reservation system; Spring Boot; Vue.js; Self study room management
在当今社会中,教育已成为人们追求知识、提升自我能力的重要途径。高校自习室是学生自主学习的重要场所,但由于资源有限,如何高效利用自习室的座位成为一个亟待解决的问题。传统的自习室管理方式往往存在信息不对称、预约困难、资源浪费等问题,影响了学生的学习体验。同时随着教育信息化的深入推进,学生对在线服务的期望不断提高,推动了高校自习室管理向数字化、智能化转型的需求。在此背景下,采用先进的现代化技术开发一套完整的自习室预约系统显得尤为重要,不仅可以提高自习室资源的使用效率,还能够为学生提供更加便利的学习环境。
基于Spring Boot的高校自习室预约系统的研发,可以借助信息化手段提升自习室的管理水平,以更好地解决传统自习室管理中的痛点问题,具有重要的实践价值和应用前景。通过设计一款集成化、综合性的高校自习室预约系统,可以实现自动化和系统化管理,提供便捷的在线预约渠道,方便学生在线取消预约座位,将自习室资源进行合理配置,减少资源浪费,并规范化、流程化自习室管理流程,提高管理效率和利用率。系统还能够提供数据的收集与分析功能,为高校管理决策提供依据,推动资源配置的优化与提升。同时系统为学生提供了一个灵活高效的学习管理工具,实现个性化的计划制定、学习提醒、打卡签到等功能,并引入有效的积分奖励机制和互动交流功能,鼓励学生进行自主学习,帮助学生合理安排学习时间,提升学生的学习交流交互,切实提高学习效率和效果。本研究的实施不仅提升了高校自习室的管理效率和服务质量,同时也为未来类似自习室系统的开发提供了参考和借鉴,推动高校信息化和数字化建设的进一步发展。
在国内,高校自习室预约系统的研究起步较晚,但随着信息技术的发展,相关研究逐渐增多。各大高校已经开始实施基于互联网的自习室管理系统,主要采用Web开发技术,结合微信小程序、移动端APP或网页端实现预约功能,部分自习室预约管理系统还集成了人脸识别、门禁联动、签到打卡等功能,提升管理效率与使用体验。例如,清华大学图书馆引入的自习室预约系统,支持线上预约、签到、超时释放等功能,该系统系统集成在图书馆官网和微信公众号中,用户可通过手机完成预约流程,同时引入黑名单机制,防止占座不来的现象。而武汉大学自习室预约系统使用B/S架构开发,前端为响应式网页设计,适配PC与移动端,支持预约时间段选择、取消预约、历史记录查看等功能,管理员可实时监控自习室使用情况,灵活调整座位安排。另外浙江工业大学自修室预约系统则集成校园卡认证,支持刷卡签到等功能,并引入信用评分机制,多次未签到将限制预约权限。同时,国内学者也针对自习室管理中存在的问题,如信息不对称和资源利用率低等,结合管理学理论对解决方案进行了探讨。尽管国内高校普遍引入或自主开发了自习室管理系统,但现有系统往往功能单一,缺乏实时交互、数据统计和智能化推荐等功能,并普遍缺乏全面的管理功能,难以满足复杂的管理需求,此外针对学习计划、学习进度等辅助管理功能的整合仍不够成熟。
国外高校在自习室管理方面相对成熟,建立了较为完善的预约与管理系统。较之国内,国外高校更注重图书馆资源管理的智能化与自动化,自习室预约系统的建设起步较早,且更多地融入了人工智能、数据分析、物联网等前沿技术,以提升服务质量和资源利用效率。如麻省理工学院的MIT图书馆提供在线预约系统,支持研究间、小组讨论室和自习区的预约,用户可通过统一身份认证登录,预约后扫码进入指定区域。系统还具备自动释放未按时使用的资源功能,提高资源周转率。悉尼大学推出的“MyStudy”的自习空间预约平台,实现了地图选座、时段预约、多人协作空间预订等功能,并整合了室内定位技术,能够帮助学生快速找到已预约座位。另外国外研究还关注如何通过数据分析和人工智能技术来优化学习空间的分配。例如,新加坡国立大学的NUS图书馆设有专门的预约系统,用户可提前一周预约座位,该系统提供实时使用状态显示,便于管理员和用户掌握空间使用情况;同时引入AI预测模型,用户可以根据历史数据预测未来几天的使用趋势,辅助决策。
从国内外的研究现状与应用分析可以看出,虽然在自习室预约系统方面已有了较大的进展,但仍存在提升空间。国内主要集中于基础功能的开发,而国外系统则融合了更多的智能化特点并重视用户体验。然而,无论是国内还是国外,都亟待在系统的稳定性、用户交互、数据分析以及学习辅助能力等方面进行深化与优化,这不仅能提高自习室的利用率,也将促进学生的学习效率与体验。
本研究主要围绕如何引入信息化技术研发一套高效便捷的高校自习室预约系统展开。在设计与实现高校自习室预约系统时,通过调研与访谈,收集用户及管理员的需求,以明确系统功能模块,设计出符合用户需求的系统架构和界面。该系统后端采用了Java作为编程语言,并利用了SpringBoot框架,使得复杂的业务逻辑和数据操作得以高效完成。与此同时,系统的数据存储和管理通过MySQL数据库实现。结合Vue.js技术作为前端框架,具有响应式数据绑定和组件化的特点,能够有效地提升用户体验和开发效率。在开发工具的选取上,使用了IDEA,它的强大功能和易用性使得编程工作更为高效;而Navicat作为数据库管理工具,使得数据库操作更为方便和快捷。这样的技术选择,确保了管理系统的开发流程既高效又稳定。本系统主要面对普通用户及管理员两大对象,实现了包括注册登录、后台首页(数据统计)、系统用户、预约时段管理、自习室信息管理、座位预约管理、取消预约管理、学习计划管理、学习提醒管理、学习进度管理、每日签到管理、兑换奖励管理、兑换信息管理、黑名单信息管理、系统管理、通知公告管理、资源管理、交流管理等多个关键功能模块,基本满足整个自习室座位预约、取消、学习管理及提醒、积分获取及兑换等业务流程,能够有效支持高校自习室预约管理,提升管理效率和用户体验。最终通过功能测试和用户反馈,进行系统性能和用户体验的优化,确保系统的稳定性和可用性。
SpringBoot是Spring家族中的一个重要成员,它简化了Spring应用的初始搭建和开发过程[1]。通过提供一系列默认配置和自动装配机制,SpringBoot使得开发者能够更快地构建出生产级别的Spring应用。它支持多种开发工具和框架,如Maven、Gradle等,并且可以与多种数据库和缓存技术无缝集成[2]。SpringBoot的简洁性和高效性使其成为开发企业级应用的首选框架之一。在本次毕业设计中,SpringBoot框架为高校自习室预约系统的后端开发提供了强大的支持。
MySQL是一款开源的关系型数据库管理系统,它以其高性能、高可靠性和易用性而著称。MySQL支持多种存储引擎,如InnoDB、MyISAM等,能够满足不同应用场景的需求[3]。它提供了丰富的SQL语法和函数,使得开发者能够方便地进行数据查询、更新和删除操作。MySQL还支持事务处理、索引优化和复制等高级功能,为数据的完整性和安全性提供了有力保障。在本次毕业设计中,MySQL数据库作为高校自习室预约系统的数据存储核心,承担着存储和管理各类系统重要数据的任务。而且通过合理的数据库设计和优化,确保了系统的数据访问效率和数据安全性[4]。
JAVA是一种广泛使用的编程语言,具有跨平台、面向对象、安全性高等特点。JAVA语言提供了丰富的类库和API,使得开发者能够轻松地进行网络编程、数据库操作、图形界面开发等任务[5]。JAVA还支持多线程编程和分布式计算,为开发高性能和可扩展的应用提供了有力支持[6]。所以本次毕设选择了JAVA作为高校自习室预约系统的开发语言。通过利用JAVA的面向对象特性和丰富的类库资源,成功实现了系统的各个功能模块,并保证了系统的稳定性和可扩展性。而且JAVA的跨平台特性也使得此次毕业设计能够在不同的操作系统和硬件平台上运行,为用户提供了更加便捷的使用体验。
Vue.js是一套构建用户界面的渐进式 JavaScript 框架,专注于构建用户界面和单页应用(SPA)。具有易于上手的特点,简洁易用,适合新手和快速开发。支持组件化开发,提高代码的可复用性与可维护性。本次毕设中,高校自习室预约系统采用Vue.js构建前端用户界面,负责展示信息,并实现和处理用户交互。
基于Spring Boot框架开发高校自习室预约系统具有显著优势。Spring Boot以其简洁的配置、高效的性能以及强大的集成能力,为快速构建稳定、可扩展的Web应用提供了坚实基础[7]。结合MySQL数据库的高效存储与检索能力,以及Java语言的广泛应用与成熟生态,系统能够实现复杂的数据处理与业务逻辑[8]。此外,前端采用Vue.js技术,可确保用户界面的流畅与互动性,技术实现路径清晰可行。
该系统开发成本相对较低,主要投入在于人力与硬件资源。Spring Boot及MySQL均为开源技术,无需额外购买软件许可,降低了开发成本。如果系统上线可通过提供便捷、高效的高校自习室预约服务,可吸引大量用户,进而通过广告、增值服务等方式实现盈利,具有良好的经济回报预期。此外,系统维护成本适中,便于长期运营与迭代升级。
系统界面简洁友好,操作流程简单,用户无需复杂培训即可上手。系统功能模块化设计操作简便,便于用户快速完成操作。且系统支持多角色协同操作,管理员和用户登录系统后均可根据权限进行相应操作,有效提升管理效率和用户体验。
在高校自习室预约系统中普通用户包含注册登录、首页、交流论坛、通知公告、新闻资讯、自习室信息、兑换奖励、我的账户、个人中心等功能。普通用户用例图如下所示:

图3.1 普通用户用例图
高校自习室预约系统中管理员则集成了登录、后台首页、系统用户、预约时段管理、自习室信息管理、座位预约管理、取消预约管理、学习计划管理、学习提醒管理、学习进度管理、每日签到管理、兑换奖励管理、兑换信息管理、黑名单信息管理、系统管理、通知公告管理、资源管理、交流管理等功能。管理员用例图如下所示:

图3.2 管理员用例图
本高校自习室预约系统根据使用者划分,主要包含普通用户和管理员两大角色,每个角色对应的主要功能说明如下所示:
-
-
- 普通用户主要功能
-
- 注册登录:提供注册和登录系统的功能,普通用户可以通过注册拥有系统账户,注册成功后可使用账号+密码登录系统前台。
- 首页:提供系统搜索功能和系统功能导航栏,展示平台的轮播图、最新动态、热门信息、推荐信息等内容。
- 交流论坛:提供交流论坛功能,普通用户可以浏览和发布交流帖子,分享内容、提出问题进行交流,支持点赞、收藏、评论交流贴。
- 通知公告:提供系统相关的通知公告信息,保证普通用户及时了解平台动态。
- 新闻资讯:提供新闻资讯的相关新闻、文章展示和热门资讯推荐,让普通用户快速获取最新资讯,支持点赞、收藏、评论新闻资讯。
- 自习室信息:提供自习室信息展示,支持关键字、排序搜索,普通用户可以浏览自习室信息,并点赞、收藏和评论自习室信息,实现预约功能(当人数已满或某时段内该座位已被预约,则系统给出相应提醒,并预约失败)。
- 兑换奖励:提供兑换奖励信息展示,支持关键字、排序搜索,普通用户可以浏览兑换奖励,并点赞、收藏和评论兑换奖励,实现兑换功能(通过获取的积分可兑换相应的奖励物品)。
- 我的账户:提供管理个人资料功能,普通用户可修改自己的账户信息和密码信息,了解自己的用户积分情况(通过完成学习进度和每日签到可获取对应积分,系统将自动更新积分情况)。
- 个人中心:提供个人首页、座位预约、取消预约、学习计划、学习提醒、学习进度、每日签到、兑换信息、黑名单信息、收藏、评论管理等子菜单功能链接,普通用户可根据需求对其进行管理。具体如下:
个人首页:展示用户的基本信息。
座位预约:展示用户已提交的座位预约信息,实现查询、取消等操作。
取消预约:展示用户已提交的取消预约信息,支持查询和确认审核情况。
学习计划:展示用户的学习计划,支持用户制定、修改、删除及查询自己的学习计划,提供进度操作。
学习提醒:展示用户接收到的学习提醒信息,可查看管理员发送的学习提醒信息详情。
学习进度:展示用户的学习进度,支持用户记录、删除及查询自己的学习进度,并允许设置进度积分(进度完成可获取积分)。
每日签到:展示用户的每日签到记录,用户可以进行每日签到,设置积分,经管理员审核通过后可获取相应打卡积分。
兑换信息:展示用户的兑换信息,支持查看已兑换奖励的记录和状态。
黑名单信息:展示用户自己在系统中的黑名单信息。
收藏:展示已收藏各类系统信息,支持用户浏览和删除收藏信息。
评论管理:展示用户发表的评论内容,支持用户跟踪、删除或查看评论历史。
- 登录:管理员可直接使用账号密码登录系统后台,进行管理,可对自己的个人信息和密码信息进行修改。
- 后台首页:管理员登录后台的起始界面,该界面主要提供系统重要信息概览和展示数据统计分析,包括自习室信息、学习计划等统计图表。
- 系统用户:管理员可管理包括普通用户和管理员等所有系统用户信息,支持用户权限管理和角色设置,可增改删查和审核封禁系统用户信息。
- 预约时段管理:管理员可管理所有预约时段信息,包括新增、编辑、删除和查询预约时段。
- 自习室信息管理:管理员可管理所有自习室信息的发布、下架、更新等操作,提供搜索功能,支持查看和管控其评论内容。
- 座位预约管理:管理员可管理所有座位预约信息,包括查询、删除座位预约,提供取消操作。
- 取消预约管理:管理员可管理所有取消预约信息,包括查询、删除取消预约,提供审核操作,辅助审核用户提交的取消预约请求。
- 学习计划管理:管理员可管理所有学习计划信息,支持新增、查询、更新、删除学习计划,提供提醒、进度等操作。
- 学习提醒管理:管理员可管理所有学习提醒信息,允许查询、更新和删除学习提醒,负责根据用户学习计划发送学习提醒信息。
- 学习进度管理:管理员可管理所有学习进度信息,包括查询、删除学习进度。
- 每日签到管理:管理员可管理所有每日签到信息,支持新增、查询、更新、删除每日签到,提供审核操作,负责审核用户的每日签到。
- 兑换奖励管理:管理员可管理所有兑换奖励的发布、下架、更新等操作,提供搜索功能,支持查看和管控其评论内容。
- 兑换信息管理:管理员可管理所有兑换信息,允许查询和删除兑换信息。
- 黑名单信息管理:管理员可管理所有黑名单信息,支持新增、查询、更新、删除黑名单信息,负责根据用户违规情况设置黑名单并将处理结果同步至用户处。
- 系统管理:管理员可管理系统的轮播图信息,包括新增、编辑、删除轮播图,提供搜索功能,支持图片附带链接。
- 通知公告管理:管理员可管理平台发布的通知公告信息,包括新增、编辑、删除通知公告,提供搜索功能。
- 资源管理:管理员可管理新闻资讯和资讯分类的新增、编辑、删除等操作,提供搜索功能,支持对新闻资讯的评论管控和查看。
- 交流管理:管理员可管理交流论坛和论坛分类的新增、编辑、删除等操作,提供搜索功能,支持对交流论坛的评论管控和查看。
在基于SpringBoot的高校自习室预约系统的设计中,非功能性需求分析是也是很重要的。它主要关注系统除了基本功能外的其他特性,如性能、安全性、易用性、可维护性等,这些特性对于确保系统的稳定运行和用户满意度至关重要。
性能:系统需要能够处理高并发请求,确保在多个用户同时操作时仍能保持稳定运行。
安全性:系统必须采取严格的措施来保护敏感数据,如用户信息、兑换数据等,防止数据泄露和非法访问。
易用性:系界面友好直观,操作流程简化,提升用户体验。
可维护性:代码结构清晰,文档完备,便于后续开发与问题排查。
用户打开浏览器,输入系统的网址,访问应用程序的系统界面。用户在首页可选择进行注册或登录。如果用户已注册,可直接进入登录页面;如果未注册,则可选择注册。登录后,用户可进入系统功能界面,根据提示可实现各项操作。系统操作流程图如下图所示。
图3.3 系统操作流程图
-
-
- 系统登录流程图
-
当用户进入登录页面,输入用户名和密码等信息,此时系统将进行基本的输入验证,确认用户名和密码不为空,点击“登录”按钮提交登录请求后,系统将进一步研究用户名和密码是否匹配,验证成功则可成功登录,跳转至用户主界面;反之,提示错误返回登录界面。登录流程图如下图所示。

图3.4 登录流程图
-
-
- 用户注册流程图
-
用户点击“注册”按钮,系统跳转至注册页面,用户需填写并提交必要的注册信息(如用户名、密码、邮箱、电话号码等),系统将对注册信息验证,确保必填字段不为空,密码符合复杂度要求等,并检查用户名和邮箱是否已被使用,系统验证无误后,将提示用户注册成功。用户注册流程图如下图所示。

图3.5 注册流程图
在设计基于SpringBoot的高校自习室预约系统时,主要遵循以下系统设计原则:
单一职责原则(SRP):每个模块或组件应只负责单一的功能,减少模块之间的耦合,方便后期的维护和扩展。
分层架构:系统采用分层架构设计,将表现层、业务逻辑层和数据访问层分开,实现功能模块的分离与复用。
可扩展性:设计时考虑未来可能的功能扩展,确保系统结构能够灵活应对需求的变化。
用户体验优先:系统设计考虑用户的使用习惯与操作便利性,通过简洁明了的界面和流畅的交互,提高用户体验。
本高校自习室预约系统采用三层架构设计,包括表现层、业务逻辑层和数据访问层。表现层负责与用户交互,展示信息和接收用户输入,使用JavaScript等技术实现前端页面。业务逻辑层处理核心业务逻辑,通过SpringBoot框架进行实现,确保业务流程的稳定性与高效性。数据访问层则负责与数据库进行交互,使用JPA或MyBatis进行数据存取,确保数据的一致性和安全性。该架构设计确保了系统的高可维护性、扩展性和灵活性。系统架构如下图所示。
图4.1 系统架构图
整个高校自习室预约系统是由多个功能模块组合而成的,根据用户需求分析,本系统主要可以划分为普通用户和管理员两大模块。各模块又可细分为不同的子功能设计,实现多角色协作,负责不同的职能,每个角色对应的功能模块如图所示。
图4.2 系统功能结构图
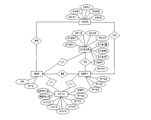
借助系统总体E-R图可以使其他用户快速轻松地了解系统的功能以及他们之间的关系。根据高校自习室预约系统各个实体和属性的分析结果,本高校自习室预约系统总体E-R实体关系图如下所示。

图4.3 系统总体ER图
通过上一小节高校自习室预约系统中总E-R关系图上得出一共需要创建很多个数据表。在此主要罗列几个主要的数据库表结构设计。下面介绍了一些根据各类别主要数据库表的设计结构以及基本功能建立数据库表。
表4.1 ordinary_user(普通用户)
|
编号 |
字段名 |
类型 |
长度 |
是否非空 |
是否主键 |
注释 |
|
1 |
ordinary_user_id |
int |
是 |
是 |
普通用户ID |
|
|
2 |
user_name |
varchar |
64 |
否 |
否 |
用户姓名 |
|
3 |
user_gender |
varchar |
64 |
否 |
否 |
用户性别 |
|
4 |
user_phone |
varchar |
64 |
否 |
否 |
用户电话 |
|
5 |
user_points |
double |
否 |
否 |
用户积分 |
|
|
6 |
examine_state |
varchar |
16 |
是 |
否 |
审核状态 |
|
7 |
user_id |
int |
是 |
否 |
用户ID |
表4.2 study_room_information(自习室信息)
|
编号 |
字段名 |
类型 |
长度 |
是否非空 |
是否主键 |
注释 |
|
1 |
study_room_information_id |
int |
是 |
是 |
自习室信息ID |
|
|
2 |
study_room_no |
varchar |
64 |
否 |
否 |
自习室编号 |
|
3 |
name_of_study_room |
varchar |
64 |
否 |
否 |
自习室名称 |
|
4 |
type_of_study_room |
varchar |
64 |
否 |
否 |
自习室类型 |
|
5 |
location_of_study_room |
varchar |
64 |
否 |
否 |
自习室位置 |
|
6 |
opening_hours |
varchar |
64 |
否 |
否 |
开放时间 |
|
7 |
total_number_of_seats |
double |
否 |
否 |
座位总数 |
|
|
8 |
current_number |
double |
否 |
否 |
当前人数 |
|
|
9 |
study_room_pictures |
varchar |
255 |
否 |
否 |
自习室图片 |
|
10 |
introduction_to_study_room |
text |
65535 |
否 |
否 |
自习室简介 |
|
11 |
praise_len |
int |
是 |
否 |
点赞数 |
|
|
12 |
collect_len |
int |
是 |
否 |
收藏数 |
|
|
13 |
comment_len |
int |
是 |
否 |
评论数 |
|
|
14 |
seat_reservation_limit_times |
int |
是 |
否 |
预约限制次数 |
表4.3 seat_reservation(座位预约)
|
编号 |
字段名 |
类型 |
长度 |
是否非空 |
是否主键 |
注释 |
|
1 |
seat_reservation_id |
int |
是 |
是 |
座位预约ID |
|
|
2 |
study_room_no |
varchar |
64 |
否 |
否 |
自习室编号 |
|
3 |
name_of_study_room |
varchar |
64 |
否 |
否 |
自习室名称 |
|
4 |
type_of_study_room |
varchar |
64 |
否 |
否 |
自习室类型 |
|
5 |
location_of_study_room |
varchar |
64 |
否 |
否 |
自习室位置 |
|
6 |
total_number_of_seats |
double |
否 |
否 |
座位总数 |
|
|
7 |
current_number |
double |
否 |
否 |
当前人数 |
|
|
8 |
ordinary_user |
int |
否 |
否 |
普通用户 |
|
|
9 |
user_name |
varchar |
64 |
否 |
否 |
用户姓名 |
|
10 |
appointment_time |
date |
否 |
否 |
预约时间 |
|
|
11 |
appointment_period |
varchar |
64 |
否 |
否 |
预约时段 |
|
12 |
reserved_seats |
double |
否 |
否 |
预约座位 |
|
|
13 |
number_of_reservations |
varchar |
64 |
否 |
否 |
预约人数 |
|
14 |
cancel_appointment_limit_times |
int |
是 |
否 |
取消限制次数 |
表4.4 redeem_reward(兑换奖励)
|
编号 |
字段名 |
类型 |
长度 |
是否非空 |
是否主键 |
注释 |
|
1 |
redeem_reward_id |
int |
是 |
是 |
兑换奖励ID |
|
|
2 |
exchange_items |
varchar |
64 |
否 |
否 |
兑换物品 |
|
3 |
item_type |
varchar |
64 |
否 |
否 |
物品类型 |
|
4 |
redeem_points |
double |
否 |
否 |
兑换积分 |
|
|
5 |
item_picture |
varchar |
255 |
否 |
否 |
物品图片 |
|
6 |
item_profile |
text |
65535 |
否 |
否 |
物品简介 |
|
7 |
praise_len |
int |
是 |
否 |
点赞数 |
|
|
8 |
collect_len |
int |
是 |
否 |
收藏数 |
|
|
9 |
comment_len |
int |
是 |
否 |
评论数 |
|
|
10 |
redemption_information_limit_times |
int |
是 |
否 |
兑换限制次数 |
表4.5 redemption_information(兑换信息)
|
编号 |
字段名 |
类型 |
长度 |
是否非空 |
是否主键 |
注释 |
|
1 |
redemption_information_id |
int |
是 |
是 |
兑换信息ID |
|
|
2 |
exchange_items |
varchar |
64 |
否 |
否 |
兑换物品 |
|
3 |
item_type |
varchar |
64 |
否 |
否 |
物品类型 |
|
4 |
redeem_points |
double |
否 |
否 |
兑换积分 |
|
|
5 |
ordinary_user |
int |
否 |
否 |
普通用户 |
|
|
6 |
user_name |
varchar |
64 |
否 |
否 |
用户姓名 |
|
7 |
user_points |
double |
否 |
否 |
用户积分 |
表4.6 learning_plan(学习计划)
|
编号 |
字段名 |
类型 |
长度 |
是否非空 |
是否主键 |
注释 |
|
1 |
learning_plan_id |
int |
是 |
是 |
学习计划ID |
|
|
2 |
ordinary_user |
int |
否 |
否 |
普通用户 |
|
|
3 |
user_name |
varchar |
64 |
否 |
否 |
用户姓名 |
|
4 |
user_points |
double |
否 |
否 |
用户积分 |
|
|
5 |
learning_objectives |
varchar |
64 |
否 |
否 |
学习目标 |
|
6 |
learning_time |
date |
否 |
否 |
学习时间 |
|
|
7 |
plan_duration |
double |
否 |
否 |
计划时长 |
|
|
8 |
learning_content |
text |
65535 |
否 |
否 |
学习内容 |
|
9 |
learning_reminder_limit_times |
int |
是 |
否 |
提醒限制次数 |
|
|
10 |
learning_progress_limit_times |
int |
是 |
否 |
进度限制次数 |
普通用户点击注册,进入注册页面,填写好账号、密码、确认密码、昵称、邮箱、身份:普通用户、用户姓名、用户性别、用户电话等字段值,点击下方注册按钮,提示注册成功后,系统将自动跳转回到登录页面。注册界面如下图所示。
图5.1 注册界面
-
-
- 用户登录模块
-
用户点击“登录”按钮,输入用户名、密码、验证码登录系统,登录时前端会自动校验用户名与密码以及该用户是否审核通过,审核通过的用户输入正确登录成功,输入错误会有提示信息。登录界面如下图所示。
图5.2 登录界面
-
-
- 首页模块
-
首页模块主要提供系统搜索功能和系统功能导航栏,展示平台的轮播图、最新动态、热门信息、推荐信息等内容。界面如下图所示。
图5.3 首页界面
自习室信息模块主要为用户提供自习室信息展示,支持关键字、排序搜索,普通用户可以浏览自习室信息,并点赞、收藏和评论自习室信息,实现预约功能(当人数已满或某时段内该座位已被预约,则系统给出相应提醒,并预约失败)。界面如下图所示。
图5.4 自习室信息界面
兑换奖励模块主要为用户提供兑换奖励信息展示,支持关键字、排序搜索,普通用户可以浏览兑换奖励,并点赞、收藏和评论兑换奖励,实现兑换功能(通过获取的积分可兑换相应的奖励物品)。界面如下图所示。
图5.5 兑换奖励界面
个人中心模块主要为用户提供个人首页、座位预约、取消预约、学习计划、学习提醒、学习进度、每日签到、兑换信息、黑名单信息、收藏、评论管理等子菜单功能链接,普通用户可根据需求对其进行管理。具体包括,普通用户可查询和确认座位预约信息,支持进行取消预约操作;允许用户制定学习计划,记录学习进度,实现学习提醒和每日签到功能;支持快速搜索和了解自己的兑换信息和黑名单信息;可查看和删除已收藏的系统信息;可跟踪和查看已发表的评论内容。界面如下图所示。
图5.6 个人中心界面
管理员登录后台的起始界面,该界面主要提供系统重要信息概览和展示数据统计分析,包括自习室信息、学习计划等统计图表。界面如下图所示。
图5.7 后台首页界面
管理员可管理所有自习室信息的发布、下架、更新等操作,提供搜索功能,支持查看和管控其评论内容。界面如下图所示。
图5.8 自习室信息管理界面
管理员可管理所有座位预约信息,包括查询、删除座位预约,提供取消操作。界面如下图所示。
图5.9 座位预约管理界面
管理员可管理所有学习计划信息,支持新增、查询、更新、删除学习计划,提供提醒、进度等操作。界面如下图所示。
图5.10 学习计划管理界面
管理员可管理所有兑换奖励的发布、下架、更新等操作,提供搜索功能,支持查看和管控其评论内容。界面如下图所示。
图5.11 兑换奖励管理界面
在这个产品被投入使用前,首先需要进行试用,这是重要的环节。考虑到某个部分的开发没有缺陷情况下,把各种模块拼接,也有一定概率就存在矛盾。这就好比每个人都很独特,但聚在一起就显得杂乱无章,需要保证有默契的配合。对于测试,要看它的各项内容是否契合的原则[10]。若与最初定下的标准有一定程度上的出入,那么就需要做出一些调整,让最终的大方向朝着目标前进。
测试是为了发现在开发的程序中所存在的问题,测试这一工作是非常艰巨的,而又是非常困难的,这一部分在程序的设计中占有很大比例,可以说一个程序的开发工作量要是占据了百分至六十,那么剩下的百分之四十必然是测试这一部分,甚至更高。
用户注册功能测试用例如下表所示。
表6.1 用户注册功能测试表
|
测试编号 |
测试描述 |
预期结果 |
测试方法 |
测试结果 |
|
TC_01 |
正常用户注册 |
用户注册成功,跳转至登录页面 |
输入所有必填项并提交 |
符合预期 |
|
TC_02 |
注册时用户名已存在 |
提示“用户名已被注册” |
输入已存在的用户名 |
符合预期 |
|
TC_03 |
注册时邮箱格式错误 |
提示“邮箱格式不正确” |
输入错误格式的邮箱 |
符合预期 |
|
TC_04 |
必填项未填写 |
提示“请填写所有必填信息” |
不填写必要信息 |
符合预期 |
- 用户登录功能测试
用户登录功能测试用例如下表所示。
表6.2 用户登录功能测试表
|
测试编号 |
测试描述 |
预期结果 |
测试方法 |
测试结果 |
|
TC_01 |
正常用户登录 |
用户成功登录,进入用户首页 |
输入有效的用户名和密码 |
符合预期 |
|
TC_02 |
输入错误密码进行登录 |
提示“用户名或密码错误” |
输入有效用户名,错误密码 |
符合预期 |
|
TC_03 |
输入未注册的用户名登录 |
提示“用户不存在” |
输入未注册的用户名 |
符合预期 |
|
TC_04 |
密码为空时登录 |
提示“请填写密码” |
仅输入用户名 |
符合预期 |
- 自习室信息管理功能测试
自习室信息管理功能测试用例如下表所示。
表6.3 自习室信息管理功能测试表
|
测试编号 |
测试描述 |
预期结果 |
测试方法 |
测试结果 |
|
TC_01 |
查看自习室信息列表 |
成功显示所有自习室信息内容 |
进入自习室信息管理页面 |
符合预期 |
|
TC_02 |
管理员添加新自习室信息内容 |
成功添加自习室信息内容并提示“信息已添加” |
进入自习室信息添加界面,输入自习室信息并提交 |
符合预期 |
|
TC_03 |
搜索特定自习室信息内容 |
成功显示符合条件的自习室信息内容 |
输入自习室信息名称进行搜索 |
符合预期 |
|
TC_04 |
删除自习室信息内容 |
成功删除自习室信息,并提示“信息已删除” |
选择自习室信息内容并执行删除操作 |
符合预期 |
|
TC_05 |
编辑自习室信息内容 |
成功编辑自习室信息内容并提示“修改成功” |
进入详情页界面,修改某一自习室信息内容并提交 |
符合预期 |
- 座位预约管理功能测试
座位预约管理功能测试用例如下表所示。
表6.4 座位预约管理功能测试表
|
测试编号 |
测试描述 |
预期结果 |
测试方法 |
测试结果 |
|
TC_01 |
查看座位预约列表 |
成功显示所有座位预约信息 |
进入座位预约管理页面 |
符合预期 |
|
TC_02 |
普通用户添加新座位预约信息 |
成功添加座位预约信息并提示“信息已添加” |
进入座位预约添加界面,输入座位预约信息并提交 |
符合预期 |
|
TC_03 |
搜索特定座位预约信息 |
成功显示符合条件的座位预约信息 |
输入座位预约名称进行搜索 |
符合预期 |
|
TC_04 |
删除座位预约信息 |
成功删除座位预约信息,并提示“信息已删除” |
选择座位预约并执行删除操作 |
符合预期 |
|
TC_05 |
编辑座位预约信息 |
成功编辑座位预约并提示“修改成功” |
进入详情页界面,修改某一座位预约信息并提交 |
符合预期 |
- 兑换奖励管理功能测试
兑换奖励管理功能测试用例如下表所示。
表6.5 兑换奖励管理功能测试表
|
测试编号 |
测试描述 |
预期结果 |
测试方法 |
测试结果 |
|
TC_01 |
查看兑换奖励列表 |
成功显示所有兑换奖励信息 |
进入兑换奖励管理页面 |
符合预期 |
|
TC_02 |
管理员添加新兑换奖励 |
成功添加兑换奖励信息并提示“信息已添加” |
进入兑换奖励添加界面,输入兑换奖励信息并提交 |
符合预期 |
|
TC_03 |
搜索特定兑换奖励 |
成功显示符合条件的兑换奖励信息 |
输入兑换奖励名称进行搜索 |
符合预期 |
|
TC_04 |
删除兑换奖励 |
成功删除兑换奖励信息,并提示“信息已删除” |
选择兑换奖励并执行删除操作 |
符合预期 |
|
TC_05 |
编辑兑换奖励 |
成功编辑兑换奖励并提示“修改成功” |
进入详情页界面,修改某一兑换奖励信息并提交 |
符合预期 |
- 兑换信息管理功能测试
兑换信息管理功能测试用例如下表所示。
表6.6 兑换信息管理功能测试表
|
测试编号 |
测试描述 |
预期结果 |
测试方法 |
测试结果 |
|
TC_01 |
查看兑换信息列表 |
成功显示所有兑换信息内容 |
进入兑换信息管理页面 |
符合预期 |
|
TC_02 |
普通用户添加新兑换信息内容 |
成功添加兑换信息并提示“信息已添加” |
进入兑换信息添加界面,输入兑换信息内容并提交 |
符合预期 |
|
TC_03 |
搜索特定兑换信息内容 |
成功显示符合条件的兑换信息内容 |
输入兑换信息名称进行搜索 |
符合预期 |
|
TC_04 |
删除兑换信息内容 |
成功删除兑换信息内容,并提示“信息已删除” |
选择兑换信息并执行删除操作 |
符合预期 |
|
TC_05 |
编辑兑换信息内容 |
成功编辑兑换信息并提示“修改成功” |
进入详情页界面,修改某一兑换信息内容并提交 |
符合预期 |
在本次测试中主要对用户注册、用户登录、自习室信息管理、座位预约管理、兑换奖励管理、兑换信息管理等模块业务流程操作,进行测试分析并编写测试用例。经过严格的测试,各测试用例都已通过,能够保证本次设计且已实现的功能能够正常运行,操作简单流畅,性能良好,能够满足管理业务需求,同时确保相关数据库的信息也同样正确无误,实现了本论文开始时所作要求和期望。
本高校自习室预约系统毕业设计项目已成功落下帷幕,这一成果不仅是对开发者技术实力与业务理解能力的全面展现,也是对传统高校自习室管理领域数字化转型的一次积极探索,为高校自习室管理提供了一种新的解决方案。
本次毕业设计充分利用了Spring Boot框架的灵活性与高效性,通过模块化设计与微服务架构,实现了自习室信息的全面管理、精准搜索与便捷座位预约、取消等功能。系统还提供便捷的学习管理辅助功能,如学习交流社区、学习计划与提醒、签到打卡以及奖励兑换等,不仅增强了系统的实用性,也为用户提供了更为便捷的学习支持。系统界面友好直观,操作流程简洁明了,为用户提供了极佳的使用体验。同时,通过深入挖掘用户需求与市场趋势,系统不仅满足了用户的实际需求,还通过数据分析与可视化展示等功能,为管理者的自习室情况洞察与决策支持提供了有力工具,极大地提升了自习室资源的利用率,确保了管理的高效性与规范性。通过对数据库索引、缓存机制等精心优化,系统性能得到了显著提升,确保了高并发场景下的稳定运行。而且通过实施严格的数据加密策略、访问控制机制及日志审计功能,系统有效防范了数据泄露与非法访问等安全风险。
总的来说,通过本次研究,成功基于Spring Boot搭建了一套功能齐全且操作简便的高校自习室预约系统,实现了丰富的功能并取得了一定的成果。在未来的发展中,将继续优化系统功能和用户体验,如可以通过引入机器学习算法,对用户学习习惯进行更深层次的分析,提供个性化的学习资源推送。同时,随着移动端技术的发展,系统可考虑推出更为便利的移动应用,从而为学生引入更灵活的自习室使用体验。通过不断提升系统的性能和稳定性,为高校自习室预约系统的长期发展和用户需求提供更好的服务和支持。
在完成本次 Spring Boot 高校自习室预约系统毕业设计的过程中,我收获了诸多宝贵的经验,也感受到了成长的喜悦,也深刻体会到理论与实践相结合的重要性。在这里我特别感谢我毕设的导师。在整个毕设过程中老师不但给我指明方向也给予我专业的指导,给了我很大的帮助也让我在探索中不断突破自我不断提升我的专业能力,更让我学会了如何以科学的方法解决问题。
我也感谢学校为我提供了一个良好的学习环境和丰富的资源支持。让我得以接触到前沿的技术知识和开发工具,为毕业设计的顺利开展奠定了坚实基础。在开发过程中,我遇到了许多技术难题,但通过查阅大量文献资料和反复实践,我逐渐找到了解决方法。这一过程不仅锻炼了我的自主学习能力,也让我深刻体会到知识的力量。
最后我要感谢我的家人和亲朋们。在我为毕业设计忙碌的日子里,他们始终给予我无条件的支持和鼓励。他们的理解让我能够在紧张的学习中保持良好的心态,专注于项目的每一个细节。这份毕业设计是我大普通用户活的完美收官,也是我人生旅程中的一个重要里程碑。我将带着这份成长和感恩,继续在未来的道路上努力前行。
- 韦珍娜,陈宇佳. 基于SpringBoot的服装租赁系统设计 [J]. 电脑编程技巧与维护, 2025, (01): 35-38. DOI:10.16184/j.cnki.comprg.2025.01.005.
- 姚佰允,张豪,杜瑞庆. 基于SpringBoot与Vue的学院人员管理系统设计与实现 [J]. 无线互联科技, 2025, 22 (02): 78-83.
- 谢海明,张佐中,林顺福.基于自动化技术的MySQL故障处理系统的设计与实现[J].电脑知识与技术,2024,20(33):73-75.DOI:10.14004/j.cnki.ckt.2024.1721.
- 陈芳.基于MySQL数据库的数据录入系统设计研究[J].科技资讯,2024,22(20):35-37.DOI:10.16661/j.cnki.1672-3791.2405-5042-7194.
- 谢帅虎.基于Java语言的翻页功能接口程序设计与实现[J].数字通信世界,2024,(11):92-94.
- 贾琴.Java编程语言的应用策略分析[J].集成电路应用,2024,41(10):84-85.DOI:10.19339/j.issn.1674-2583.2024.10.034.
- 张靖旭,曾晓晶,郭玉坤. 基于SpringBoot的校园植物信息网建设研究 [J]. 信息与电脑(理论版), 2024, 36 (22): 119-121.
- 戴亚哲,李尤,赵利宏,等. 基于SpringBoot+Vue的文旅平台设计与研究 [J]. 无线互联科技, 2024, 21 (21): 70-72.
- 王小豹,谢杰,李泽峰.基于SpringBoot框架的图书馆座位预约系统的设计与实现[J].信息记录材料,2025,26(04):55-59.DOI:10.16009/j.cnki.cn13-1295/tq.2025.04.003.
- 赵彩霞,张栽培,杨璇.基于Java编程导航学习平台开发设计的研究[J].家电维修,2024,(03):62-64.
- 王菲,张凤涛,热依丽罕·图尔荪,等.手机端自习室预约系统的设计与实现[J].现代计算机,2024,30(20):101-105.
- 王方,齐毅.高校图书馆座位预约系统管理情况分析——以湖北文理学院图书馆为例[J].作家天地,2024,(23):55-57.
- Liu Y .Design and Implementation of a Student Attendance Management System based on Springboot and Vue Technology[J].Frontiers in Computing and Intelligent Systems,2024,8(1):91-97.
- 倪甜弟,周晓波,王相喜.基于JSP图书馆自习室预约系统的设计与实现[J].现代计算机,2024,30(09):117-120.
- 王钰,范国婷,钱檀盛,等.高校自习室选座app的设计与实现[J].福建电脑,2023,39(08):71-75.DOI:10.16707/j.cnki.fjpc.2023.08.016.
- Yanfeng L ,Hui M ,Xi L , et al.Timetabling optimization of classrooms and self-study rooms in university teaching buildings based on the building controls virtual test bed platform considering energy efficiency[J].Building Simulation,2022,16(2):263-277.
- 彭建飞.高校图书馆自习阅览室座位预约系统使用分析——以武夷学院图书馆为例[J].内蒙古科技与经济,2021,(22):90-91+93.
- HU Z .Multi level Recommendation System of College Online Learning Resources Based on Multi Intelligence Algorithm[J].Journal of Physics: Conference Series,2021,1873(1):
- 李鹏,张海燕.基于Java技术的图书馆预约座位管理系统的设计[J].电脑知识与技术,2021,17(08):71-73.DOI:10.14004/j.cnki.ckt.2021.0638.
- 亢宇翔,严张凌.基于Android平台的共享自习室应用的设计与实现[J].信息与电脑(理论版),2020,32(14):86-88.
附录A:系统核心代码设计
注册页UserController.java,传入user对象,并将"user_id"、 "state"、 "user_group"、"login_time"、"phone"、"phone_state"、 "username"、"nickname"、"password"、"email"、"email_state"、"avatar"、"create_time"输入,重点是 "username"、"nickname"、"password"必须输入,通过获取username,数据库查询是否有该用户,如果存在,则提示“用户已存在”,否则执行将UserId置为空(数据库表中该字段已设置自动递增),代码如图所示。

注册核心代码图
登录页,首先传入"username"、"email"、"phone"、"password",用户可通过用户名、邮箱、手机号进行登陆,通过判断resultList来确定查询结果,然后执行查询用户组UserGroup,用户组里面不存在,依然报“用户不存在”,执行完以上代码,最后涉及到用户带有“审核”的,会查询examine_state(用户的审核状态),数据库表user_group中含有source_table和source_field进行查询,以上步骤完成,对输入的密码进行存储Token到数据库,匹对账号和密码,数据库中的AccessToken为令牌,用于身份认证,代码如图所示。

用户登录核心代码图
修改密码,通过请求data,获取旧密码,并将新密码重新赋值,期间都是需要通过加密,代码如图所示。

修改密码核心代码图
添加数据
新增一条数据,通过post传入一个json对象,然后经过request.getReader(),最后经过readBody()转成一个Map,含有String和Object,key用的是字段名,Object存放数据,最终得到Map,insert用拼装sql,读取body,组装成一个insert对象,runCountSql()语句,代码如图所示。


添加数据核心代码图
修改一个数据,原理与add基本一致,不同点在于通过readConfig()读取关键字,以及通过readQuery()获取URL后面?指定位置的标识,转成Map对象后,执行update操作,同样通过拼接的sql语句执行,执行过程读取query,toWhereSql()语句完成数据库操作,body为修改对象的值,代码如图所示。

修改数据核心代码图
删除一条数据,通过readQuery(),获取URL后面的对象地址,删除FROM具体的table,query删除查询FindConfig语句,代码如图示。

删除数据核心代码图
通过请求的参数获取列表数据,代码如图所示。

获取列表核心代码图
通过请求的参数获取列表数据,代码如图所示。

图片上传核心代码图
【关注博主 →免费赠送完整源码+数据库】
【关注博主 →免费赠送完整源码+数据库】
【关注博主 →免费赠送完整源码+数据库】
更多推荐



所有评论(0)